記事公開日
エンジニアブログ100回記念
無線通信の近未来を勝手に予測する

はじめに
LED通信事業プロジェクト エンジニアブログと銘打って開始したのが、2021年の7月。当初、隔週の連載でしたが、今年初めぐらいから毎週の連載となり、今回が丁度100回目の記事となります。そんな、記念の今回のブログは、ちょっと偉そうではありますが、無線通信の近未来を勝手に予測するという内容にさせて頂きます。無線通信の未来に日本も世界もありませんが、一応本稿は日本の近未来を中心にした話となります。
我々は、光無線通信を生業としています。言うまでも無く、光無線通信界隈は無線通信全体から見れば、非常に小さな存在であり、アウトサイダーです。ですから、我々は生き残るために、無線通信業界全体を見て、どの辺なら光が割り込めるかを常に考えています。この事は、開発前からあらかじめ用途が決まっている、もしくは見通せている、他の無線技術の業界とは、ちょっと立ち位置が異なると思っているんです。言い方は悪いですが、我々は「常に電波無線通信のあらを探している」わけで、それだけに、電波無線の専門家とはちょっと違う視点で考えていると思っているんですよね。そんな我々が、どのように無線通信の近未来をどう考えているのか、100回記念としてご紹介したいと思います。ちなみに”近未来”というと幅がありますが、今後10年ぐらいの話だと考えて頂ければと思います。このブログなので、なるべく軽い感じで、誰にでもわかりやすく書くつもりですが、もし、それ故に各関係者に失礼な表現がありましたら、この場で先に謝罪しておきます。大変申し訳ありません。
尚、このブログでも繰り返し書いておりますが、記事の内容は、光無線通信エンジニア個人の考えであり、会社(株式会社三技協)を代表するものではありません。また、ブログ中に出てくる企業名・団体名の敬称は省略させていただきます。
技術的な前置き
通信理論的には上限に達している
ここは、個人の意見とか、関係無く、今後話をする上での技術的な大前提をお話ししておきます。
通信容量(通信速度)の上限というものは、1940年代にクロード・シャノンという大天才数学者が発表した「シャノン・ハートレーの定理」をはじめとした、いくつかの定理によって決まっています。これは、どんなに科学技術が発展したとしても、通信速度には突破することのできない物理的な上限が決まっている、ということを意味します。言わば、通信における相対性理論(光の速度を超えて移動できない)みたいなものだと思ってください。
現在、高速無線通信で広く使われている、QAM方式やOFDM方式といった変調・拡散方式は、すでにシャノンの提示する物理的限界に近いとされています。もちろん、限界に近いだけで、限界に達したわけではありませんが、その改善余地は大きくなく、例えば「この方式なら速度が5倍になる」とか「1+1は2じゃない、200だ!」といったものは、物理的に存在しません。
一方で、どれだけ効率良く通信するかという情報理論も限界に達しています。広く使われているエラー訂正技術である、ターボ符号やLDPCは、データ伝送効率化の限界である”シャノン限界”にほぼ近いものとされていましたが、5Gで採用されているポーラ符号は、シャノン限界そのものに達成したとされています。つまり、もう情報理論としては、すでに効率が100%なのです。物理的にこの上はありません。当然、「200%の効率」とか「ミスター200%」なんてものは存在しません。
以上、2つの視点から説明させてもらった通り、現在使われている無線通信技術は、ほぼ理論的な上限に達しており、あまり改善の余地はないんですよね。例えば、エネルギーだったら「核融合」、電池だったら「全固体電池」、コンピューターなら「量子コンピュータ」など、発明(完成)されることによって世の中が変わってしまう「技術的ブレイクスルー」っていうのは様々考えられますが、こと無線通信技術は完成品なのため、そのようなものが存在しません・・・ というわけで、この記事の前提として、以下のことを頭の中にいれて、今後をお読みください。
- 通信技術においては、通信速度を劇的に上げる技術的なブレイクスルーはもう発生し得えない
- 通信速度を上げるには、帯域幅を広げる以外に方法が無い
シャノン関連の定理は物理法則であり、絶対です。これを破ることは、相対性理論を破ることに等しいのです。そういうわけで、無線通信において、これ以上効率的にはできないため、通信速度を上げるには帯域幅を広げるしかないという状況になっています。帯域幅というのは、周波数を使っている幅のことです。「チャンネル幅」と呼んだ方がピンとくる方も多いかも知れません。例えば、LTEやWi-Fiであれば、チャンネルの幅は20MHz。5Gなら400MHzとか、そんな数字です。
有線の通信ならば、機器が扱える周波数の幅を広げるという、単なるデバイスの進化の話なのですが、無線通信の場合はそうはいきません。ご存じの通り周波数は有限です。使っている周波数の「幅」を広げろって言われても、そうそう周波数は空いていません。ちなみに、この周波数問題はよく道路に例えられます。今の無線通信の状況を道路に例えれば、「(渋滞を減らすために)交通量を増やしたいが、それには道路の車線を増やすしか無い」といった感じでしょうか? 土地も周波数も、どちらも空きがなければ広げられない、という点で同じです。
飛ばない、曲がらない、透過しない
通信速度を上げるには、帯域幅を広げるしかない、ということは前章で書きました。しかし、周波数は空いていないことがほとんどです。特に、低い周波数であればあるほど空いていません。電波は周波数は低いほど遠くまで届くために、低い周波数の電波はいろいろな用途で使われます。ただし、以前も書きましたが、携帯電話は必ずしも電波が遠くまでとどくことが良いわけではありませんので、携帯電話の世界では、適度に電波が届く700~900MHz辺りが、周波数としては最適とされています。この辺りの周波数は、ソフトバンクが周波数再編の際に「プラチナバンド」と呼んだことから、今はこの名前で呼ばれることが多いです。楽天(モバイル)も、ずっとこのプラチナバンドの割り当てを要求していて、その後かなり紆余曲折ありましたが、やっと楽天にもこのプラチナバンドが割り当てられることになりました。これまでの歴史を考えても、やはりプラチナバンドが携帯電話で最も重要である事は間違いないと思います。
みんなこのプラチナバンドにおいて、自由に周波数幅が使えるのなら、携帯電話はもっと素晴らしいシステムになっていたと思うんです。でも、現実はそんなことはなくて、プラチナバンド周辺に空き周波数なんて殆どありません。最近楽天に割り当てられたプラチナバンドは、たった6MHz※1。いや、これでもあるとないとでは大違いなんですが、でもね、5Gの周波数幅って100MHzとか400MHzですよ。6MHz幅では、5Gのフルサービスはとても実現できません。
じゃあ、楽天が5Gをどうやってサービスしているのか?それは、4GHz※2とか28GHzとか、もっともっと高い周波数を使っているのです。周波数は高いほど空いています。だって、周波数は高いほど不便だから。これを土地に例えてみます。プラチナバンドが都心だとしたら、周波数が高ければ高いほど、都心から離れるってことを意味します。私の完全な主観ですが、プラチナバンドが新宿なら、4GHzで福島辺り、26GHzに至っては津軽半島ぐらい不便になると思ってください。そりゃー、津軽半島なら大きな幅の広い道路が作れると思いますよ。でもね、使ってくれるかどうかは別です、不便ですから。
周波数が高いと何故不便なのか。それは、飛ばない、曲がらない、透過しないの三重苦だからです。このブログでもよく話題になりますが、電波は周波数の二乗に比例して減衰するんです。だから、プラチナバンドの電波は飛ぶけど、高い周波数の電波は遠くまで飛びません。でもね、それだけなら良いんです、まだね。けどね、携帯電話って、よく考えるとほとんど屋内、車内、電車内とかで使用されているんです。よく考えてくださいよ、東京って、夏はハワイやグアムより暑いのに、冬は雪降るんですよ?おかしいですよ。日本って「お外で丁度良い季節」がほんと短すぎますよ。暑すぎるか、寒すぎるか、両極端。そりゃ、オープンカフェがちっとも流行らないはずだ・・・ ちょっと、脱線してしまいましたが、それでも、皆さんも考えてください。普段、外で長時間スマホっていじりますか?暑くて、もしくは寒くてやってられませんよね。それに加えて、深夜にもなれば、気温に関係無くほとんどが屋内使用なるってことは、皆さんも想像つきますよね。というわけで、携帯電話って、ほとんどの場合で屋内や車内で使用されているんです。
だとすると、問題になるのは「飛ばない」よりも、「透過しない」ことなんですよ。どれぐらい透過しないのかっていうのは、材質やら形状やらによって違うので、定量的なデータを出すのが難しいのですが、確実なのは周波数が高いほどあらゆる物質を透過しなくなるってこと。飛ばない上に透過しないから、4GHzより上の周波数ぐらいだと、室内まで電波が届くことを期待しにくい。5GHzのWi-Fiの電波を考えてください。自宅のWi-Fiの電波って、壁とか天井でガンガン減衰しますよね?マンションとか壁が厚いところだと、2.4GHzの電波なら届くのに、5Gだと使えないってことも多々あります。
ともかく、高い周波数の電波は、すぐ弱くなって不便なんです。使いにくいんです。でも、速度を出す、つまり帯域幅を確保するためには周波数を高くしなければいけない。あっちもだめ、こっちもだめ、ではどうしたらよいんでしょう?
携帯電話やWi-Fiの状況
携帯電話やWi-Fiの現在の方向性
皆さんに一番身近な無線通信と言えば、携帯電話とWi-Fiでしょう。恐らく、今このブログを呼んでくださっている人は、携帯電話、つまりはスマホ経由か、PCのWi-Fiでインターネットに繋げている方がほとんどのはず。だとすれば、無線通信の未来は、携帯電話やWi-Fiの未来と同じ意味ではないか?と。まあ、勝手にこじつけておりますが、ここでは、とりあえず今後の携帯電話やWi-Fiの方向性と課題ということで考えていきましょう。まず、最初に、これまでの携帯電話、Wi-Fiの進化の過程を見てください。
実は、一般の方だと気付いていないかもしれないのですが、携帯電話もWi-Fiも、すでに単純に高速化するという進化は終わっているのです。何故なら、最初に書いたとおり無線通信技術の進化は終了しているから。どちらのシステムも、使える周波数幅を増やすことで最大通信速度はあがっていますが、メインの進化は、通信速度以外の面での改良だったり、付加価値付けだったりします。
携帯電話が単に通信する(SNS見る、YouTube見る)だけで済むのだったら、すでに第4世代のLTEでシステムとしては完成しています。だから、携帯電話の5Gの売りは帯域幅拡大による通信高速化に加えて、「超高信頼・低遅延」と「超多数同時接続」を売りとしています。前者は「新しいアプリケーションの創出」を目的としていて、後者は「IoT」を目的としていると言っていいでしょう。帯域幅拡大というのは最大速度高速化の意味がもちろんありますが、増えていく通信量をどのように捌くか、という目的の方が強いです。実際、(スペックとしての)最大通信速度を上げたいだけなら28GHzのミリ波と呼ばれる帯域をサポートすべきなのですが、各社ともミリ波に対応する気は無いらしく、もはや最大通信速度は売りにならないことを理解しています。ちなみに、通信とは直接関係ないのですが、5Gのもう一つの売りは「ウルトラリーン」と呼ばれる省電力技術。端末の繋がっていない基地局では電波を出さない、とか今までありそうでなかった様々な省電力技術が搭載されています(そのために、めちゃくちゃ仕組みが複雑になっているんですけど・・・)。
Wi-Fiの方は、Wi-Fi 5(802.11ac)までで高速化を売りにするのは終わりました。Wi-Fi 6からは、OFDMAに対応するほか、干渉回避関連の技術など、「安定して通信する」ことを重視しています。Wi-Fi 6は、Wi-Fiにとって非常に大きな進化であり、通信方式も大きく変わりましたが、実効的な通信速度はWi-Fi 5からさほど大きくは変わりませんでした。Wi-Fi 7においては、複数のバンド(例えば2.4GHzと5.6GHz)を同時に使用することで、高速化しつつも安定した通信ができるようにしました。LTEでいうと、キャリアアグリゲーションに相当する技術です。Wi-Fi 6以降に使える周波数が増えた(5.8GHzや6GHz)こともあり、マルチバンドの機能が重視されたのでしょう。でもね、よっぽどシビアな環境で通信している人でない限り、Wi-Fi 5で困っている人はいないと思うんですよ。皆さんどうですか?Wi-Fi 6でないとできない事って、何かありました?無いですよね?FPSのゲームとかシビアな通信環境が必要な人は有線でやっているでしょうし、Wi-Fiはある程度の速度で通信できるだけで、良いはずなんです。つまり、Wi-Fi 5で無線LANとしては、ユーザーのニーズを満たすレベルを達成してしまっている、と言えると思うんです。
携帯電話もWi-Fiも、技術的な中身を見てみると、OFDMを使い、エラー訂正を使い、H-ARQという再送技術を使い・・・と、無線通信的には、今どきの非常に似かよった技術を使っています。言わば、もう無線通信技術としてのこれ以上の大きな進化は望めないという状態にあります。そして、ユーザーのニーズもおおよそ満たしている。となると、次に何をやればいいんでしょうね?
Beyond 5Gの開発課題
というわけで、では携帯電話の次世代、6GともBeyond 5G(B5G)とも呼ばれますが、それの技術的に実現すべきものとしてどういったものが考えられているか、見てみましょう。B5Gの研究課題は、情報通信審議会から、「産官学で取り組むべきB5G研究課題10種類」という形で紹介されています。下の図は、その課題ですが、右の注釈は筆者がわかりやすく付けたものです。
どうです?興味が湧いたものありました?最後の課題10は、どちらかというとみんなで考えてね!的なもので技術的な研究課題とは言えない?かも知れませんが、他は携帯電話に関する技術研究課題として、かなり重い内容です。でもね、この研究内容って携帯電話事業者にとっては、とても重要なのかも知れませんが、ユーザーに直接関係するというか、ユーザー体験に影響するものが少ないんですよね。敢えて言えば、課題6のNTNがあると、登山する人や沖に出る漁師さんが便利になるかもね、てなぐらいで。
少なくとも私には、B5Gの研究課題のほとんどが、「ユーザー通信量の増大にどのように対応するか?」を主眼に置いているように見えます。つまりは、携帯電話システムを構築する携帯電話事業者の視点から見て重要な技術ばかりで、新しいユーザー体験とかそういったものには興味が無いように見えます。ユーザー体験については課題10で触れているじゃないか、と思うかも知れませんが、課題10はアプリケーションの開発であって、技術的に提供するものではありませんし。
携帯電話はデジタルになって、携帯メールや携帯Web(i-mode)を生みました。第3世代CDMAになって、ゲーム等のリッチコンテンツで遊べるようになりました。第4世代LTEになって、どこでもYoutubeが見られるようになりました。これまでは、技術の進歩とユーザー体験の向上って一体だったんですけど、B5Gになって、新たにできるようになる事って何なんでしょうね?周波数が上がり、帯域幅が大幅に増え、最大通信速度は上がったけど、その代償に通信は安定しなくなり、ユーザー体感はむしろ下がった、では何の意味も無いんですけどね。
日本における5Gの状況
さて、日本における状況として、最初に携帯電話各社の設備投資額がどうなっているのか、その推移を見てみます。このグラフは、各社ちょっと条件が違ったりするので、各社の設備投資額絶対値を見るのには適していません。しかし、各社の設備投資の傾向は分かると思いますので、それを見て頂きたいと思います。
一般に、世代が変わって新しいシステムを導入した年か次の年ぐらいから投資額が徐々に増えていき、3~4年後にピークを迎え、そして次の世代まで投資額が下がり続けるという推移になります、というかなるはずです。世代が変わって、新システムになるってことは、無線機を沢山入れ替える必要があり、それには無線機だけじゃなくて、当然のことながら工事も必要で、人件費もかなりかかります。だから、当然世代末期よりも設備投資額は大きく増えるはずです・・・
5Gになってどうでしょう?あれ?増えていないような。K社は頑張っているようですが、他の2社は明らかにLTEの頃より、あきらかにやる気が無い。5Gの基地局は、LTEの頃よりも周波数が高くて電波が飛ばないから、純粋な基地局数はLTEよりも多くないといけないはずなのに。しかも、円安で無線機価格も人件費も上がっているはずなのに。各社(というかNとSの2社は)、5Gに注力する気はさらさらないって事でしょうか。
普及しないWi-Fi 6
実は、Wi-Fiの状況も、予想とは違うものとなっています。Wi-Fiを取り仕切るWi-Fiアライアンスによる大本営発表的にはWi-Fi 6は、かつて無いスピードで普及していると言っています。しかし、5Gに対応しているようなスマートフォンでもWi-Fi 5止まりで、Wi-Fi 6に対応していない機種が散見されます。もちろん、iPhoneやGoogle Pixelのような日本円で10万円を超えるようなハイエンド機種なら、Wi-Fi 6どころか最新のWi-Fi 7にまで対応しているんですが、世界的にも数が出るであろうXiaomiやOppo、Samsungの廉価端末は、5Gに対応している最新機種であってもWi-Fi 5止まりです。また、スマートフォン以外のWi-Fi対応機器、例えば、最新のGoogle TV Streamer(4K)はWi-Fi 5までですし、AmazonのFireタブレット、Fire TVなども上位機種でないとWi-Fi 6には対応していません。というわけで、スマホ売上上位メーカーの最新端末(主に廉価版)と、Google、AmazonのデバイスにおけるWi-Fi対応状況をまとめてみました。
| 機種 | Wi-Fi | 携帯 | 分類 | 発売日 | 価格※3 |
|---|---|---|---|---|---|
| Sumsung Galaxy A16 5G | Wi-Fi 5 | 5G | スマートフォン | 2024年10月 | 240 EUR |
| Xiaomi Redomi A3 Pro | Wi-Fi 5 | 5G | スマートフォン | 2024年10月 | 100 EUR |
| Xiaomi Redomi A4 | Wi-Fi 5 | 5G | スマートフォン | 2024年11月予定 | 100 EUR |
| Oppo A80 | Wi-Fi 5 | 5G | スマートフォン | 2024年8月 | 200 EUR |
| Tecno Spark 30 pro | Wi-Fi 5 | LTE | スマートフォン | 2024年9月 | 170 EUR |
| Google Pixel9 | Wi-Fi 7 | 5G | スマートフォン | 2024年8月 | 780 EUR |
| Apple iPhone16 | Wi-Fi 7 | 5G | スマートフォン | 2024年9月 | 900 EUR |
| Google TV Streamer | Wi-Fi 5 | -- | STB | 2024年9月 | 16,000 JPY |
| Amazon Fire HD 8 2024 | Wi-Fi 5 | -- | タブレット | 2024年10月 | 15,980 JPY |
ことしの最初の記事でも書いたのですが、Wi-Fi 6(以降)が最大の力を発揮するのは、全てのアクセスポイント、端末がWi-Fi 6で揃ったときなんですよね。でも、上の表を見て貰っても分かるとおり、ハイエンド以外は最新機種であってもまだまだWi-Fi 5までの対応なんですよ。先ほど、私個人の意見として、Wi-Fi 5でほとんどのユーザーニーズは満たしているって書きましたけど、端末メーカーの対応も、私の意見が事実である事を裏付けています。
それでも伸びていく通信量
ここまでをざっくりとまとめると、
- 無線通信技術の向上は限界に来ていて、画期的に通信速度を上げる方法は無い
- 携帯電話もWi-Fiも最大速度を上げる方向よりも、安定性や低遅延など付加価値を付ける方向を重視している
- 一方でユーザー側にも、通信速度を上げてほしいというニーズが無い
- 携帯電話事業者も端末メーカーも、ユーザーニーズの低さから最新技術導入に積極的ではない
となります。ということは、もう通信業界というのは、ユーザーニーズを満たしており、何の進化も必要ない、例えば、電気、ガス、水道などのインフラと同じように、安定供給や効率化、または防災とかの面での進化はあっても、ユーザーに帯する根本的な進化は必要とされていない、そう考えられてもおかしくはありません。
でも、電気、ガス、水道、と通信が大きく異なるのは、「全体の使用量が爆発的に増えている」ということです。
上のグラフは、総務省が作成した月ごとの日本の携帯電話(全事業者合計)の通信量の推移を表したグラフです。日本人の人口は減っているのに、通信量は10年で12倍に増えています。携帯電話の一世代は約10年ですから、通信量は一世代で10倍以上になると考えて良いでしょう。でも、これって、インフラとしては、かなりあり得ない数字なんですよ。はっきり言って「1+1は20だ!」の世界(それぐらいありえないこと)ですよ。実際に、どれぐらいあり得ないかを実感していただくために、同じインフラでもある国内総発電量(≒消費電力量)を調べてみました。
日本の電力消費量は1960年から2020年を見れば、確かに10倍になっています。が、60年かけて10倍ですし、増えていたのは2000年までの話。その後はどちらかというと減少傾向です。なんでこんなデータを出したかと言えば、インフラってこんなもんだ、ということを表現したかったからです。電力みたいな比較的増える傾向にあるデータだって、こんなもんであり、急激に増えること(減ること)はありません。でも、携帯電話の通信量はなんと10年で10倍超、しかも、まだ増え続けています。
もし、消費電力が10年で10倍になったとしたらどうでしょう?おそらく、今揉めているような、再生可能エネルギーにすべきとか原発再稼働すべきだなどという議論は無意味となり、再生可能エネルギーも原発も火力も発電できるなら何でもすべて全力で作り続けないと追いつかない、という事態になるでしょうし、その間、毎日停電も発生するでしょう。電気無しでは生きられない現代人としては、考えただけで恐ろしい状況が予想されます。でも、現在の通信量の増え方って、そういうレベルなんです。ユーザーのニーズが無いから今のままで良いや、なんて言っている余裕はないんです。なにがなんでも通信容量を増やさなければいけない、そういう状況なんです。もう現在は、これ以上通信効率を上げることはできないので、通信容量を増やすということは、帯域幅を増やすことと同義です。
何を進化させれば良いのか?
さて、ここまで考えてみて、無線通信の未来を考えた場合、なにを進化させるのが良いと思いますか?その答えのひとつは、通信量増大に対応するための基幹回線の強化です。そして、それは先に説明したBeyond 5Gの開発課題の多くに当てはまります。オール光ネットワークが代表的な技術で、間違いなく基幹回線の強化は急務です。それはそうなんですが、今回のブログで取り上げたいのは、そういった有線部の通信の進化ではなく、無線区間の通信の進化についてなんで、ここではちょっと基幹回線の話はちょっと脇に置かせて貰います。
無線区間、つまり携帯電話ではRANと呼ばれる基地局、端末の間の通信であったり、Wi-Fiであったり、またはその他の無線通信であったりは、通信量激増に対して、この先どのような進化が考えられるのか?という話をしたいと思います。あくまで、私(のチーム)の私見ですので、異論あるかも知れませんが、光無線通信エンジニアが考える未来ということで、ご容赦下さい。
周波数を上げる
周波数幅を広げるためには、さらにさらに高い周波数を使用する必要があります。現在、無線通信で使用されている最も高い周波数は「ミリ波」と呼ばれる周波数です。5Gでは、28GHzの「ミリ波」と呼ばれる高い周波数を使っています。また、Wi-FiもWi-Gigと呼ばれる60GHz帯のWi-Fiも存在します。しかし、それだけでは足りないということで、更に高い周波数を使う研究がされています。
B5G(6G)ではサブテラヘルツと呼ばれる、100GHzから300GHzの周波数の使用が検討されています。サブテラヘルツの実験結果がNTT等からも発表されています。100mで100Gbpsの通信を達成したそうで、このサブテラヘルツが上手く使えれば、通信量増大の問題はかなり緩和されると思います。思いますが・・・
電波も100GHzレベルとなると、これまでの電波の常識が通用しなくなります。例えば、電波を発信器からアンテナまで電波を通すためのケーブルってありますよね?同軸ケーブルとかフィーダーケーブルとか呼ばれる奴です。これを、100GHzの電波で使うと、あっという間に減衰して電波が飛ばないほど弱くなってしまいます。ミリ波でもその傾向はあるんですが、サブテラヘルツになると、もはや実用が難しいほど減衰してしまいます。回路内の短い配線すら難しいレベルです。ですから、それを防ぐために、デバイスも含めて、これまでの無線機とは異なる設計が必要となります・・・
さて、ここで時間の話になります。Wi-Fiで60GHzミリ波を扱うWi-Gigの製品が出始めたのは2015年ぐらいからです。Wi-Fiと同じようにアクセスポイントという親機と、PCに接続できる小型モジュールのセットでした。残念ながらほとんど売れなかったわけですが、とにかく実用化はその頃にされています。そして、その5年後には5G携帯電話としてミリ波が実用化されています。つまり、実際の製品が出て5年程度でスマホに載せられるレベルまでもってこれたということです。さて、サブテラヘルツはどうでしょう?先ほどのNTTの発表は2024年4月、つまり今年に発表されたものです。B5G(6G)のサービス開始は2030年を目標にしていますから、あと6年しかありません。ミリ波の事を考えたら、あと1年で何らかの製品が出ないといけません。しかも、ミリ波はWi-Gig以外にも1対1の無線通信用としても使われていて、実用化の実績が多々ありました。でも、サブテラヘルツは目標6年前の段階で研究室での実験レベルの話しかでていません。
前述の通り、サブテラヘルツを扱うには、デバイスレベルからの再設計が必要です。スマートフォンに載せる難しさはミリ波の比ではありません。そう考えると、サブテラヘルツは、おらく2030年に間に合わない可能性が高く、6G途中の2035年とか、更にその先の2040年の7Gとかでの実用化になる可能性すら考えられます。さらに、新しすぎるものなので、実用化してすぐに普及するとも考えにくい。となると、現状対処しなければいけない通信量増大の対策としては、ちょっと間に合わないと考えられます。
基地局を高密度にする
さて、周波数を上げるのが難しいなら、既存の周波数を活用するしかありません。活用?といっても技術的に難しいことをする必要はありません。ただ、ひたすらに無線基地局の数を増やせばい良いのです。簡単な理屈なんで、ちょっと説明します。
携帯電話の1つアンテナがカバーする範囲をセルと呼びます。無線基地局の数を増やすというのは、セルの面積を小さくすることと同じ意味です。例を出しましょう。仮に、ひとつのセルに1人しか通信できないとしましょう。そして、ここに2つの土地があります。それぞれ土地の面積は12で、そこをカバーするのに3つの基地局を使う土地と、12の基地局を使う土地があります。前者の1セルの面積は4、後者の1セル面積は1になるはずです(下図)。セル面積=4の場合、土地面積12に対して、3人しか通信できませんが、セル面積=1の場合は、12人通信できます。これは、後者の通信容量が前者の4倍になっているということになります。つまり、面積辺りの通信容量は、セルの面積に反比例することを意味します。
この理屈で行けば、通信量が10倍になるのであれば、セル面積を1/10にすれば良いことになりますし、実際それで通信量の問題は解決できます。
この理屈を一番上手く使っているのが、Wi-Fiです。ご存じの通り、Wi-Fi基地局(AP)の出力は携帯電話基地局に比べて、かなり小さいです。だから、Wi-Fi APのセル半径っていうのはとっても小さい。個々のWi-Fi APは、最大数Gbps(例えばWi-Fi 6なら最大9.6Gbps)を達成でき、速度だけ見れば携帯電話と同等に高速ですが、しかしセルの面積が小さいので、その高速を少ない人数でのみシェアします。その結果、個々が高速に通信できるようになります。おそらく、Wi-Fi APを設置している多くのご家庭では、携帯電話よりもWi-Fiの方が常時安定して高速に通信できるはずです。
携帯電話もセルを小さくすればするほど、通信容量は大きくなり、個々のユーザーの平均通信速度は上がります。通信量の問題も対処できるでしょう。しかし、携帯電話の場合、セルを小さくすればするほど、必要な基地局数が増えていき、しかしその分、基地局建築の総コストは上がっていきます。簡単に書きましたが、携帯電話事業者だって一民間企業ですから、コストこそが一番重要で、実行の一番の障害となります。儲かるなら良いですよ?でも、1つのセルを半分ずつにして2つセルにしたとしても、売上は2倍になりません、というか売上は変わりません。だって、加入者の数は同じだから。そして、もちろんコストは倍になります。
Wi-Fi APは、使う側が準備するので、セルが小さくてもコストの問題とはなりませんが、携帯電話の基地局は携帯電話事業者1社ですべて準備しなければいけないわけですから、そりゃ大変さが違うわけです。だから、携帯電話では「セルの面積を小さくする」という施策は現実的には難しく、周波数を高くして帯域幅を稼ぐという方向しか無いわけです。
周波数のジレンマ
セルを小さくして、通信容量を稼ぐ方法はお金がかかるからやりたくない。だから、帯域幅を増やすことで通信容量を稼ぐ。しかし、帯域幅を増やすには、高い周波数にしなくてはいけない、そういったロジックでありました。
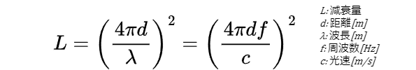
でも、ここでよく考えてみます。まず、そもそもセルの面積は周波数と相関関係にあります。電波の減衰する量を計算する式(自由空間損失式)から、同じ減衰量だとした場合は、(距離)× (周波数)が一定となります。つまり、周波数が2倍になった場合、距離は半分の時に、元と同じ電波の強さになるってことになります。この式から、セルの直径と周波数は反比例するということが分かります。まあ、いきなり式なんで、無視して頂いても構いませんが。
じゃあ、周波数が元の10倍になったらどうなるか?当然、セルの直径は1/10になります。ということは、面積にすると2乗になるから・・・ 元の面積の1/100の1になるの? ええ、なるんです。そうなんです。周波数を上げると、電波が飛ばなくなって、強制的にセルの面積は小さくなります。これって、基地局を沢山作りたくなかったから、高い周波数を使っているのに、周波数の特性のせいで、結局基地局を沢山作らなければいけなくなるってことです。まさに、これが周波数のジレンマ。
具体的には、こんな感じになります。
プラチナバンドと呼ばれる約800MHzからみて、28GHzのミリ波は、おおよそ周波数35倍になります。更に、セルの面積比較で言えば、35の2乗で、約1200分の1となります。つまり、プラチナバンドの基地局に比べて、28GHzミリ波の基地局は1200倍の数を置かないと、同じカバレッジエリアにならないってことです。とはいえ、一番差の大きいプラチナバンドとミリ波の比較はちょっと大げさですので、もっと近い、2.1GHzのBand1といわれる世界共通バンドと、5G用として割り当てられた3.7GHzと比べてみましょう。周波数は、約1.8倍、セル面積は3.1分の1となります。2.1と3.7という、一見周波数的に大きな差が無いように見えるこの2つの周波数バンドでも、必要なセルの数は3倍違うのです。
ちなみに周波数幅は、2.1GHzが上下併せて40MHz、3.7GHzが100MHzなので、もちろん今から同じ数の基地局を建てるなら3.7GHzを建てた方が効率的というかコスパはいいんですが、そもそもかなり基地局数の多い2.1GHzと比べて3倍の基地局数を建てるって、結構大変なことです。
一旦まとめます。システム全体の通信容量を増やすためには、高い周波数を使って広い周波数幅を使うか、セルをどんどん小さくしていくかの2つの方法がありますが、高い周波数を使うと結果的にセルが小さくなるので、結局のところ通信容量増やす方法は、セルを小さくしていくしかないってことになります。なんか、結局、どうにもならなくて絶望感のある結論ですが、物理法則なのでどうしようもありません。
その結果の現状
じゃあ、今割り当てられてる高い周波数ってどうなっているのか、つまりは結果としてどうなっているのかを見てみます。
まず比較のために、先ほども取り上げた既存の2.1GHzという周波数を見てみます。2.1GHzという周波数は第三世代CDMAから使われている全世界共通で使われる周波数帯です。今でもメインで使われていて、4GLTE用の基地局も数多くあります。現状の2.1GHzのLTEがどのような状況か、まず見て下さい。(尚、すべて昨年末のデータなので、ちょっと古いですが、傾向は分かると思います。)
出展 総務省「電波の利用状況調査の調査結果の概要について(令和5年)」
| バンド | 世代 | 事業者 | 基地局数 | 面積カバー率 |
|---|---|---|---|---|
| 2.1G | 4G | NTTドコモ | 52,473 | 36.13% |
| 2.1G | 4G | KDDI | 40,660 | 25.25% |
| 2.1G | 4G | ソフトバンク | 38,177 | 26.55% |
各社4~5万局の基地局を打って、面積カバー率が25%以上を保っています。25%って低いように見えますけど、山とか川とかの面積は広いが人口の少ないところ、というのはプラチナバンドでカバーするのが普通です。だから、2.1GHzはもっと容量が必要なところに使います。そして、現在2.1GHzによって、おおよそ都市部がカバーできていると考えて下さい。
さて、5G用の3.4GHz~4.7GHzの通称サブ6と呼ばれる帯域を見てみましょう。帯域はいくつか割り当てられているので、各事業者の一番基地局の多い帯域を抽出しています。
| バンド | 世代 | 事業者 | 基地局数 | 面積カバー率 |
|---|---|---|---|---|
| 4.5G | 5G | NTTドコモ | 9,052 | 5.87% |
| 3.7G | 5G | KDDI | 16,965 | 2.35% |
| 3.4G | 5G | ソフトバンク | 25,998 | 13.70% |
ソフトバンクが、一番低い周波数である3.4GHzに26000局ほど基地局を設置しており、面積カバー率が13%になっています。まあ、若干ソフトバンクの面積カバー率の計算が他の事業者より甘めではありますが、それでも2.1GHzの半分ぐらいのエリアにはなっています。しかし、他の2社は、面積カバー率が10%も行かない、ちょっと厳しめな数字が並んでいます。これだと、都市部においてカバーできているとは、ちょっと言い難い。
しかし、驚くのはまだ早いです。28GHzミリ波の基地局数と面積カバー率を見て下さい。尚、基地局数は屋外のみです(屋内局は対象外)。
| バンド | 世代 | 事業者 | 基地局数 | 面積カバー率 |
|---|---|---|---|---|
| 28G | 5G | NTTドコモ | 2,969 | 0.00% |
| 28G | 5G | KDDI | 2,840 | 0.19% |
| 28G | 5G | ソフトバンク | 3,944 | 0.01% |
まあ、こんなもんなんですかね?どう評価して良いのかも分かりません。比較対象外なので表には載せていませんが、ここでも書いた通り、一番大変な楽天が一番ミリ波の基地局を設置しているという状況。でもね、ミリ波がこんながら空きでも大丈夫ということは、各事業者、まだまだ周波数が足りているって事でもありますけどね。
結局、現状を見ていると、高い周波数はあまり使われていないようです。そりゃ、そうですよね。携帯電話事業者は、その基地局の配下に、どれだけのユーザーがいるかで利益が決まるわけですから。人がいない場所に基地局を建てても無駄なのと同じように、基地局のカバーエリア内に人がいない基地局を建てても無駄ですから。たとえ、周波数が高くて電波が飛ばないのが理由だとしても。
でも、今の勢いで全体の通信量が増えていくと、いずれ5G用周波数を使わざるを得なくなるはずです。
結局、進化すべきこととは?
これまでの、状況をまとめると次のようになると思います。
ユーザー個々が求める性能は頭打ちになったが、全体の通信量は確実に増えます。しかし、空いている使いやすい周波数はないので、割り当てられる周波数はどんどんと上に上がっていく。ただし、残念なことに割り当てられた周波数は使いにくすぎて、基地局を積極的に建設するに至っていない。
そんな状況で、これからの無線通信はどうしたらよいでしょうか?いや、これはもうひとつしかないでしょう。沢山基地局を設置できるようにするしかない。沢山基地局が設置できるようにするってことです。沢山基地局を設置するということは、次のような要素が必要となります。
- 安い
- どこにでも設置できる
- 誰にでも設置できる(工事・設定簡単)
- 後ろの回線(バックホール)も安い/簡易
今後、ミリ波以上の周波数を使うとして、どんなに技術的の進化しようとも、ミリ波が使いにくいというのは物理的に変わりません。ミリ波もサブテラヘルツ波もビームフォーミング※4によって弱点をフォローできると大本営発表していますが、ミリ波を見る限りはそこまで効果は高くないし、結局は使いにくいってことに変わりはありません。だとしたら、次の施策は数を打つことしか無いですよね。言い方は悪いですが物量でごまかすって奴です。3,000局で0.2%のエリアが構築できるなら、300,000局の基地局を設置すれば20%のエリアがでますよ、と。でも、現状の基地局の価格、設置方法、バックホールでは、とても30万局は設置できません。O-RANとか、理想は分かるんですが、ミリ波を動かすために25Gbpsの回線がいるとなっちゃあ、安くできるものも、できませんから。
だとしたら、開発をするなら、ここですよね。単純で安い基地局、どこにでも簡単に設置できる方法、回線に繋げれば即使えるようなプラグインプレイ性能、なんならAIを利用したロードバランシング機能とかもあれば良い。なにより、バックホール回線を選ばず動かせることも重要。バックホールが遅いなら、遅いなりに動いてくれないと。だけど、これだけ書くとWi-Fi APなら全て実現しているような機能ばっかりな気がしないでもない・・・
2000年代後半に、携帯電話が爆発的に増えて、帯域が足りなくなり、携帯電話各社が公衆Wi-Fi設置に躍起となったことがありました。あらゆる店の店先に、ソフトバンクの犬の画が描かれたWi-Fi APが置かれていたのを記憶しています。当時は、携帯電話のデータをWi-Fiへデータ「オフロード」する必要がありました。でも、今はLTEのおかげで、Wi-Fiへのオフロードは必要なくなり、公衆Wi-Fiそのものが下火になりつつあります。
いつその時が来るかは分かりませんが、ミリ波が今のような状況だと、いずれ通信量の増加が割当周波数を上回り、かつてのように通信がしづらい状況が発生するかも知れません。その時に、あのWi-Fiオフロード騒動の時のWi-Fi APのように、どこでも簡単にミリ波の基地局が設置できる、そんなことになっている、というかそんなことにしないといけない、そう考えています。もしくは、ミリ波をバックホールに使ってWi-FiのAPとか、サブ6の小型無線機とかへオフロードする、といった方向になるかも知れません。とにかく、ミリ波基地局をWi-Fi AP並みに手軽にすること、これが大事です。もちろん、将来を考えればサブテラヘルツを研究するのも大事ですが、メーカー各社には、もっと「ミリ波をまともに使えるようにする技術」の開発に力を入れてほしいものです。そうしないと、結局はサブテラヘルツも使えないこととなり、最終的に使える周波数が枯渇しかねません。
繰り返しになりますが、ミリ波やそれに近い高い周波数の基地局を、安価に大量に設置できるようにする技術、それこそが、近未来の通信を支える無線通信技術になると、我々は考えています。
最後に光無線通信の話を
その中で、光無線通信というのは、どのような役割をするのでしょうか? と、唐突に光無線通信の話をしますが、光無線通信のエンジニアブログなので、そこはご容赦下さい。
高い周波数を安価で使える、というのは、実は光無線通信の事でもあるんです。扱いの難しい、サブテラヘルツ等と違って、光無線通信をするのに必要なのは、従来でも沢山使われているLEDであったり、レーザーダイオードであったり、そんなありふれたデバイスです。デバイスを一から開発する必要も無いし、数も出ているため安価です。
ただ、ミリ波やテラヘルツ波と同じで、扱いにくいというのは同じなので、携帯電話に載せるとか、PCに載せるとか、そういったことは難しいでしょう。でも、ミリ波無線機が、安価になり、大量に設置されるような未来が来た場合、その足回りの安価な無線回線として、または、さらにその先のWi-Fiの代用として、光無線通信が使用される可能性は多いにあると考えています。
まとめ
というわけで、我々の考えを長々と書きました。携帯電話事業者さん、無線機メーカーさん、今もいろいろ考えていると思います。しかし、ミリ波が世界的に全く普及していない、他の周波数のように使う目処が立っていない、というのは紛れもない事実だと思います。あと10年経って、通信量が10倍になったとき、ほぼ確実に現状の周波数だけでは、通信量を受け止められなくなります。その時、ミリ波が救世主にならないといけない、それだけは確実です。
色々と偉そうに書きましたが、正直、基地局設置が誰でもできるようになると、我々の会社の商売的には大問題なのですが・・・ そんな未来が来るか、来ないか分かりませんが、我々も来たるべく通信量増大の対策に貢献できるよう、日々精進したいと思います。
※1; 楽天モバイルへのプラチナバンド割り当ては、FDD(上下分離)のため上り3MHz、下り3MHzの合計6MHzとなっている。
※2; 5GNR用に割り当てられた、3.7GHz帯や4.5GHz帯、通称”Sub-6”帯の事を指している。
※3; 現地通販(Amazon等)でのおおよその価格。紹介しているスマートフォンは日本国内で販売されていない機種も多いため、ユーロに統一している
※4; アンテナの向き(指向性の方向)を、電気的に自由に高速に変えることのできる技術。通信している方向に電波を集中させることができるので、減衰の大きな高い周波数の電波でも遠くまで飛ばすことができる。










