記事公開日
【社内雑談】 5Gの電波の人体被曝について

はじめに
今回はいつもと違った趣向で、社内の雑談を記事にしてお送りしたいと思います。話題は、5Gの電波ばく露レベルはこれまでの携帯電話と同程度以下という記事について。電波とか通信とかを研究する公的研究所であるNICT(情報通信研究機構)による研究で、5Gの電波被爆レベルはLTEと同程度以下っていうことが測定されましたって話です。電波が人体に与える影響って、健康食品やらワクチンやらと同じで、結論ってなかなか出ないと思うんです。しかし、公式には上記記事にもあるように基準があって、それ以下にすることが義務付けられています。でも、5Gはそういったデータがあるにもかかわらず、やたらと叩かれている印象があります。今回は、それについて話し合ったコタツ記事です。気楽に読んでいただければ幸いです。
尚、何度も書いていますが、このブログは個人の見解で、会社としての方針では決してありません。個人が勝手に書いているものだとしてお読みください。
電波の減衰について
社員A(以下A): 5Gの電波被爆とかって、なんで話題になるんでしょうね。日本は以前から電波被爆が問題になる国と言われていましたが、今回5Gになって特にヨーロッパで問題になっていましたよね?人体の影響を考慮して一時5Gのサービスが停止されたり、ひどいものだと5Gの電波で鳥が落とされたとか、ちょっと信じがたいことがニュースになっていたりしましたよね。
社員B(以下B): 電波を生業にしている人間にとっては、なぜ5Gだけ目の敵にするか分からないんだよね。だって、(無線機の)最大出力は変わっていない状態で、周波数が上がれば電波は飛ばなくなるんだから、むしろ影響が小さくなるのでは?と考えるのが普通なんだけどね。
A: 多分、多くの人は電波の減衰について知らないんだと思いますよ。周波数で減衰が違うとか、距離で大きく減衰するとか。
B: なるほど。我々にとっては常識であっても、多くの人にとってはそうじゃないかもしれないね。じゃあ、これからの話のためにも、ここでちょっとだけ説明を入れておこう。
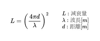
何もない空間中を電波が伝搬するとき、どのぐらい減衰するかはこの式で表すことができる。
これを自由空間損失式と呼んでいて、電波伝搬時の損失の式として最もよく使われる。厳密に言うと、この式は「真空中」に適応される式であり、空気中の伝搬時の損失は空気の種類(窒素が多いとか、酸素が多いとか)や気温・湿度なんかによっても異なるんだけど、その違いによる減衰量の変化って小さいので、よほど精密な結果が求められる用途以外では無視しても問題ない。だから、空気中の損失式として、この式を使うことが多いね。
A: 受信電波の強さを推定するときによく使われますよね。たしか、無線従事者免許の試験でも出てきたような。
B: そうそう。無線を扱う上では基本だからね。で、この式を見て貰えれば分かると思うけど、減衰の大きさは、距離の二乗に比例して、波長に反比例するんだ。波長に反比例ということは、周波数に比例するということと同じだ。
A: 電波の速さは、光の速さと同じだから常に固定。だから、波長が短くなると周波数は高くなるんですよね。
B: そう。だから、周波数が高いと減衰が大きくなる、つまりは電波が飛ばなくなる。だから、周波数の高い5Gの電波は飛ばないんだよ。
A: そうですよね。
B: 5Gで新たに割り当てられた周波数って、sub-6と呼ばれる4~6GHzぐらいの周波数と、ミリ波と呼ばれる26GHzの周波数です。これまで携帯電話のメインとして使われていた周波数は、800MHzと2.1GHzだから、明らかに電波はこれまでより飛ばなくなる。
A: 26000÷800を単純に計算すると32.5だから、800MHzとミリ波を比較すると、おおよそ電波の強さは32分の1ってとこですか。
B: そんなところだね。周波数の影響は大きい。でもね、実はもっと大きいのが距離の問題なんだよね。なんせ、「減衰は距離の二乗に比例」だから。
A: 二乗はでかいですね。
B: 実例を出すね。スマホの電波の出力は最大で200mWと決まっている。これは世界的ルール。一方で、基地局側の出力は、大きな基地局であれば通常40Wだ。昔は100Wなんていう基地局もあったみたいだけど、とりあえずここではLTE以降では標準的な40Wにしておこう。アンテナから出る電波は指向性の関係で20倍とかになるから、仮に20倍として、基地局からは最大800W相当の電波が吹いていると考えよう。このように考えた場合、基地局はスマホの4,000倍の出力で出しているってことになる。
A: 4,000倍はでかい数字ですね。
B: 一方で、スマホと人体、特に頭までの距離は、画面を見ていると想定してせいぜい30cm程度だよね。で、基地局アンテナとの距離は、どんなに近くても30mはある。大きい基地局は、そもそも高さですら30mはあるからね。つまり、基地局との距離は、スマホ側との距離の100倍。その場合、基地局の電波は自分のスマホ電波に比べて100の二乗、すなわち10,000倍減衰していることになる。
A: あれ?ということは、基地局とスマホを比べると、出力で4,000倍になっても減衰が10,000倍なら、結果スマホの電波の方がずっと大きいってことになるじゃないですか。
B: そうなのよ。
A: しかも、スマホ側の距離の30cmって最長に近い。目が悪い人はもっと近いし、なんなら耳に当てての通話中ならもっと近い。一方、基地局の距離はほぼ最短。実際はもっと遠い。更に言えば、アンテナのピーク方向の値ですし。つまり、これは最大限基地局からの電波が強いとして、この値ってことですよね。
B: そう。しかも、基地局とスマホ間の見通しが無い場合の方が多いわけで、基地局からの電波は実際はもっともっと減衰する。だから、ほとんどの状況で、基地局の電波より自分の持っている携帯電話からの電波の方が強いんだよね。
A: なるほど、そんなもんなんですね。
B: 実際、電波の強さでいうと、基地局からの電波の受信強度が-90dBmぐらいで、端末の送信電力が+10dBmぐらい、なんていうのはよくある状態。つまり、スマホでの受信と送信で差し引き100dB、実数に直して10,000,000,000倍(100億倍)違うなんてことも珍しくない。
A: あはは、比較になりませんね。
B: でも、携帯電話の電波の人体への影響っていうと、皆さんほとんどの場合基地局からの電波を思い浮かべるよね。
A: 確かに。
B: そりゃさ、基地局のアンテナの真ん前で作業してれば基地局の電波の方が強いって事もあるだろうけど、そんなの関係者だけだし、その関係者ですらそんな時間は一瞬だよ。常時身近にあるスマホとは違う。つまり、電波の人体への影響って、スマホのような端末からの電波の影響を指すんだよね、通常は。
A: そうですよね。そこを理解していない人が多いかも知れませんね。
B: 実は、基地局から離れるほど、スマホ側の送信電力って上がるようになっているから、実は基地局から適度に近い方が電波被曝が小さいなんてことも考えられるね。
A: あはは。イメージと逆になるんですか。でも、基地局から近いから、遠いからで電波の人体への影響が違ったという話も聞きませんね。
B: あまり気にする必要は無いと思うよ。むしろ、ほとんどの人にとっては、基地局から遠い方が電池の減りが大きいってことのほうが影響は大きいと思う。
A: 確かに。そっちの方が痛い・・・
人間への影響とは?
A: とはいえ、それでも携帯電話の電波を毛嫌いする人は一定数いますよね?
B: うん。特に日本はそういう人が多い方だと思う。この辺は2つの理由があって、「お国柄」と「電波過敏症」だ。
A: 電波過敏症は聞いたことがあるけど、お国柄って・・・ そんなのが理由で良いんですか?
B: 日本は、例えばマンションの上とかに携帯電話の基地局を置くのが、本当に大変なんだ。何回も交渉に言って、頭下げまくって、お金払って、それで何とか置かせて貰える。でも、もっと簡単に基地局を設置できる国も多いんだ。
A: どうしてですか?耐震基準とかでいやがられるとか?
B: それもあるんだど、近くで基地局があるのがイヤだ、電波が出ているのがイヤだ、という人がいるんだよ。その人は携帯電話を使っているのにも関わらずね。
A: そういう人がいるとは聞いたことがありますね。
B: これは、「日本人にとって携帯電話基地局は迷惑設備である」という前提からきていると考えられるんだよね。
A: どうしてですか?
B: 実は、国によっては携帯電話基地局が近くに立っている方が不動産価格が上がるっていう国もあるんだよ。だって、考えてみなよ?今の携帯電話って、電波が強い方が通信速度が速いんだよ? つまり、同じ端末、同じ契約であっても基地局に近い方が通信速度が速くなるんだよ?しかも、さっき言ったように電池も保つ。どうせ携帯電話を使うなら、基地局の近くの方がお得だと思わない?
A: 確かに。合理的に考えれば、そうなりますよね?
B: そういう国では、携帯電話の基地局が建つという事に対して反対が起こることは少ない。だって、自分の利便性が上がり、かつ不動産価値が上がるんだから、歓迎こそすれ、迷惑だと思うことはない。
A: その観点で見ると、日本はなんとなく、電波の影響もあるし、携帯電話の基地局が近すぎるのはちょっと・・・ と思う人はいますよね。そういう人達にとって、基地局は迷惑設備になるんですね。
B: うん。だから、自分のマンションの上に基地局が建つのを嫌がるどころか、近くのマンションの上に建つのも嫌がって、基地局を撤去しろって言ってくる人もいるんだよ。自分でも携帯電話を使っているのにね。基地局からの電波の影響で体調が悪くなったとかいう人も少なくなくて、それで結局基地局が廃局になることもあるんだよ。
A: そうなんですね。うーん、本当に電波の影響なんでしょうかね、そういう人達って。
B: はっきりとは言えないけど、そういう人の中には基地局の電波をすでに止めているのにも関わらず体調の文句を言ってくる人もいて、もはやどうしようもない。もちろんさっき言った様な(端末側の方が電波は強い等の)話はするんだけど理解して貰えない場合もあるようだ。その時は、携帯電話事業者としては運が悪かったとあきらめるしかない。
A: ですよね。そんな、電波の人体への影響なんてないですよね。
B: とはいえ、そういう人だけではないのが電波の影響の難しいところ。俗に「電波過敏症」と呼ばれる、電波を浴びると体調が悪くなるって人もいる。
A: そういう人、本当にいるんですか。もしかして、化学物質過敏症※1みたいな感じなんですかね?
B: 言われてみれば、それに近いのかな。電波過敏症とは電波を浴びると、頭痛やめまいがするとか、体調が悪くなるとかそういう症状が出る病気を指すんだ。だけど、電波過敏症は医学的、つまりはWHO(世界保健機関)的には正式な疾患とは認められていない。つまりは公式には病気ではないとされている。でも、原因はわからないけど電波に過敏に反応してしまうと言っている人は、日本に限らず世界中にいる。
A: 世界中にいるんですか。
B: そういう人は本当に苦しんでいるから、当然携帯電話なんて持っていないし、電波をできるだけ避けるように山奥でひっそりと暮らしているって人もいるようだよ。
A: それは、深刻ですね。
B: 電波と人間の脳が全く関係無い、って話なら別だけど、脳神経は一種の電気だし、それ故に脳波なんていう電波が出てるわけだしね。また、歯の詰め物や銀歯がアンテナの役割をして影響が出ているなんて話もある。
しかも、(携帯電話とは比較にならないほどの)強い強い電波の場合だと、一瞬で誰にでも分かるほど影響が出るし、更にイージス艦のレーダーレベルの最強電波にもなれば人の生死にも関わる。つまり、電波の人体への影響って一定以上なら確実にあるという事は分かっている。
だから、電波の人体への影響の話は、影響の有無じゃなくて、どのレベルなら影響がないのかという閾値の話になるんだよね。だけどというか、だからこそ閾値いくつ以下なら絶対に影響がない、と言い切るのはちょっと難しいよね。
A: 確かに、閾値勝負だと影響がないことの証明が難しいことは容易に想像できます。個人差も大きいだろうし、確率論になっちゃう。それでもWHOは、電波過敏症を正式な病気として認めていないんですよね?
B: 私は医者ではないから、WHOがどうとか、病気がどうとか、そういったことは分からないし、言えない。だけど、「統計的に」ではなく本当に「体の仕組み的に」携帯電話電波の影響は全く無い、と証明するのは、現在の科学・医学では不可能に近いことだということだけは分かる。だから、論争はずっと起こると思う。
A: そうですね、多くの人、ほとんどの人には影響がないとしても、それが0である事の証明って、いわゆる「悪魔の証明」になってしまうから、結論を出すのは難しいですよね。
5Gだけ影響があるの?
A: それにしても、LTEのころはここまで人体の影響は言われませんでしたよね。なんで、5Gだけここまで叩かれるんでしょうかね?
B: それについては、新型コロナウイルスと時を同じくしてしまったというのが大きいかなと思ってる。電波の人体への影響だけじゃなくて、新型コロナウイルスを増殖するだの、人体を操作するなど、おおよそ5Gに携わっている人間から見ると理解できないデマまで飛び交ったからね。
A: 諸外国では、5G基地局の焼き討ちみたいな事も起こったそうですね。
B: デマなのか本当なのか訳が分からない情報が飛び交った結果、人体への影響まで変な噂が立ったと。しかも、ミリ波(mmWave)という「バンドの名前が目新しい」ため、よく知らない人達に「これまでの周波数とは違うのでは?」という印象も与えたのかなと。以前よりある”UHF”みたいな無機質な呼び名だったら、ここまで問題になってないと思う。
だけど実際には、最初に言ったとおり周波数が高いから理論的に影響は少ないはずだし、冒頭に紹介した記事にあったとおり、実際のNICTの調査でも影響は、むしろLTE時代よりも小さくなったと結論づけられている。
A: そうですよね。鳥が大量に落ちるとかあり得ないですよね。
B: もしそれがあり得るとしたら、ミリ波の基地局が増えた今、さらに鳥の大量死が増えているはずなんだけど、そういう話は聞かないしね。
A: いわれてみればそうですよね。5Gの基地局は全世界で日々増えているのに、被害状況は日々増えていかない。ということは、関連性はないと考えるのが自然ですよね。
B: その他、ウイルスと連動とか、人体を操作とか、何十億人が死に至るとか、このレベルの話は全てデマです。おそらく、こういうこと言う人達は3GPPとか読んだことないんだと思う。申し訳ないけど、5Gは人体を操作できるほどの大層なシステムじゃないからね(笑)。
まとめ
A: というわけで、まとめお願いします。
B: まとめではないけど、最後に自分の思いを。電波の人体への影響が心配な人は、ひとまずNTTドコモのこのページを読んでくれ。デマ的なものへの回答も含めて、全て書いてある。私は、このページに書いてあることを全面的に支持するというスタンスだ。
もちろん、極々少数の人に影響が出る可能性は、ほんの僅かながらある。それは否定しない。けど、それは利便性のために社会が許容しなきゃいけないリスクだと思う。もはや携帯電話無しで世の中は成立しない。それは、自動車無しで世の中が成立しないのと同じ。そして、自動車事故の被害から考えれば、電波の人体への影響による被害は無視できるほど小さい、というのが私の考え方だ。
A: なるほど、そういう考え方もありますね。
B: 電波の影響は否定しにくいが故に、さまざまなデマが飛び交う。これを読んでいる皆さんには、是非、冷静に、そして客観的にデータをみて、電波の人体への影響について考えてほしい。
A: 私もそう思います。それでは、皆さん、また次回お会いしましょう。
※1; 化学物質過敏症は、電波過敏症と併せて「本態性環境不耐症」とも呼ばれる。

