1. 主要ページへ移動
  2. メニューへ移動
  3. ページ下へ移動

光無線通信システム

電波を使わない最先端の通信システム
LED Backhaul®

システムの特長

POINT1

安定した通信

電波を使用しないので、干渉を受けずに安定した通信が可能です。

POINT2

高速・低遅延

電波を使用しないので、干渉を受けずに安定した通信が可能です。

POINT3

免許不要

電波を使用する無線機器ではないため、取り扱いに免許の取得は必要ありません。国内どこでも自由に使用できます。

POINT4

屋外利用を前提とした製品開発

防水加工を施しているため屋外でも使用可能です。雨の中でも途切れず通信できます。

POINT5

設置が容易

専⾨知識が無くても簡単に設置できます。設置と撤去を繰り返すイベント会場で、監視カメラ映像の伝送路としての活用に適しています。

LED Backhaul®の多様な用途

Scene01

プライベートエリアのネットワーク化

Wi-Fi6とLED Backhaulの組合せにて、オールアンライセンバンドで無線ネットワークを構築できます。

ローカル5GやWi-Fi6と組合せたプライベートエリアのネットワーク化が可能

Scene02

機器の遠隔操作

LED光無線通信を使えば工場・倉庫内などのノイズが大きい環境でも安定して通信できます。

5G端末を搭載した工事用の重機の遠隔操作の5Gバックホールとして
遠隔操作に必要となるカメラ映像を遅延なく伝送することが可能!

Scene03

イベントのバックアップ用回線に

イベント本番時に予期せぬ電波障害やケーブルの断線で無線機が使えないこともLED光通信があれば安心です!

3日間の短期間しか使わないイベントで使用される大型ディスプレイへの映像伝送システムとして
イベント用のネットワーク環境を構築するための通信システムとして

Scene04

Wi-Fiアクセスポイント、有線LANの代替として

有線LANが引きづらい公道、河川を挟む建屋間におけるネットワークの延伸に最適!

Wi-Fiアクセスポイントをつなげれば離れた建屋にWi-Fi環境を構築できる

光通信を応用した事例

LED通信技術を車間通信システムに応用

国家プロジェクト「トラック隊列走行」に参画しました

経済産業省・国土交通省が推進する「トラック隊列走行の社会実装に向けた実証」プロジェクトで、三技協のLED通信技術を搭載したトラックの後続車無人隊列走行実験が成功を収めました。社会実装に向けた技術検証に貢献しています。

「トラック隊列走行の社会実装に向けた実証」プロジェクトとは

物流業界で深刻化するドライバー不足や燃費改善などの課題解決に向け、2016年にスタートしたトラックの後続車無人隊列走行の実現を目指した研究開発・実証事業。豊田通商株式会社が経済産業省および国土交通省から受託し、三技協は2017年から車両間の光通信機を担当しました。当社製品LED Backhaul®の光無線通信技術をベースに改良を重ね、車間通信システムとして提供しています。

Case

新東名高速道路の一部区間で行われた 実証実験
3台の大型トラックは、先頭車両のみ運転手が乗車し、後続車の運転席は無人状態で(助手席に保安要員が乗車)9mの車間距離を保ちながら時速80㎞で走行しました。

LED通信技術白書

1. 光無線通信の成り立ち

なぜ電波ではなく光なのか?

三技協が製造販売しているLED Backhaulは電波ではなく光を使った無線通信です。本章では、なぜ電波ではなく光を使っているのか、光無線通信というものが作られたのかを説明いたします。それを理解するためには、まず電波のデメリットについて理解する必要があります。

周波数は貴重なもの

現在の無線通信の殆どは、電波によって行われています。皆さんが使っている携帯電話やWi-Fiから、テレビやラジオといった放送、飛行機などが使うレーダーも全て電波です。ドイツのヘルツが電波を発信、受信出来ることを実証した1888年から、およそ120年ちょっと。もはや電波なしでの生活は考えられないほど普及しています。電波は非常に便利です。非常に遠くまで飛ばすことができ、様々な物質に対して透過させることも反射させることもでき、モノを加熱することすらできます。ただし、ご存じの通り有限です。使える周波数は限られていますし、すでに殆どの周波数が使われてしまっていて、殆ど空きはありません。電波は、増やすことができない「貴重な共有財産」です。そのため、電波を使いたいと思っても、簡単には周波数を割り当てて貰うことはできません。

日本を除く多くの国では「電波オークション」というものを採用しています。これは、空いている周波数を「オークション」で売りに出し、一番高い価格で落札した人がその周波数を使う権利を得るというモノです。使いやすい周波数ほど、周波数の幅が広いほど落札価格は高くなります。2017年にアメリカで行われた600MHz帯の周波数オークションは、なんと総額200億ドル(日本円で2兆1千億円超!!)にもなったそうです。日本ではオークションをやらない代わりに、周波数を割り当てられた人に対し、エリアカバー率などのユニバーサルサービスの厳しい(=お金がかかる)条件を付けていたりします。いずれにせよ、世界中どこの国でも共通しているのは、携帯電話の時代となり、周波数の需要は爆発的に増え、それゆえ周波数の価値は上がり続けているということです。そう考えると、もはや普通の人(法人)には新たな周波数など入手不可能なのです。

電波の厳しいルール

そして、仮に運良く電波を使う許可を得たとしても、電波を使うときのルールは非常に厳密に使われています。日本においてですが、まずは電波法という法律に従わなくてはいけません。さらに電波法から周波数毎、用途毎の細かいルールを決めた無線設備規則というものがあります。そして、その無線設備規則や委員会の答申等を受けて、[電波産業会](通称ARIB、三技協も正会員です)が最終的な標準仕様を決定します。電波法や規則などが改正される場合、殆どのケースは「いくつかの審議会による審議」「何度かのパブリックコメント募集」「WTO等との調整」を経て改正されます。文面からも想像ができるかと思いますが、もの凄く時間のかかる作業であり、早くても1年、通常は数年掛けてやっと改正が決定されます。そして、そこまでして改正したルールを基に実際の製品にする際には、ルールに適合していることを証明するため、一台毎に登録点検を行い総務省に提出するか、もしくは製造品全てが適合していることを認定試験機関に試験を依頼し、技術基準適合証明(通称技適)を取得しなければいけません。さらに、アマチュア無線や携帯電話の基地局などは総務省に無線局として登録しなければいけません。さらには、それを操作する人は無線従事者免許(出力等で階級はある)の取得が必要となります。

Wi-Fiなどは自由に電波を使えているように見えます。Wi-Fiなどの装置が免許なしで使える周波数は、「アンライセンスバンド」とか「ISMバンド」とか呼ばれます。例えば、Wi-FiやBlueToothが使う2.4GHz帯域は、元々電子レンジのための周波数だったため、通信の用途でも免許なしで使える周波数です。ただし、免許が不要だからといって自由に電波を出してよいわけではありません。2.4GHzを使用する機器は、周波数幅や出力が厳しく制限されているだけではなく、「キャリアセンス」という面倒な仕組みも必要となります。キャリアセンスとは、電波を送信しようとするとき、他の人が使っているかどうかをモニターし、使っていない場合にのみ送信するという機能で、他の人と干渉を防ぐ目的で使われています。これにより通信速度が遅くなったり、遅延が大きくなったりしてしまいます。キャリアセンスはいろいろな人が勝手に使うアンライセンスバンドでの必須ルールであり、例えば次のように2.4GHzだけでなく他の周波数帯、システムでも同様のルールが存在します。

ARIB STD-T66 3.7版 3.4.1項(2.4GHz Wi-Fiの規格)

キャリアセンス (設備・第49 条の20)
  • ア 占有周波数帯幅が26MHz を超え38MHz以下のOFDM方式(FH方式との複合方式を除く。)の送信装置については、キャリアセンスを備え付けること。
  • イ 屋外で使用する模型飛行機の無線操縦の用に供する送信装置(FH 方式のものを除く。)にあっては、送信開始時において動作するキャリアセンスを備え付けること。

ARIB STD-T108 1.2版 3.4.2項 (920MHz LPWAの規格)

  • 無線設備は新たな送信に先立ち、キャリアセンスによる干渉確認を実行した後、送信を開始すること。
  • キャリアセンスは、電波を発射する周波数が含まれる全ての単位チャネルに対して行い、128μs 以上行うものであること。
  • キャリアセンスレベルは、電波を発射しようとする周波数が含まれる全ての単位チャネルにおける受信電力の総和が給電線入力点において-80dBm とし、これを超える場合、送信を行わないものであること。​
この様に、周波数が貴重である事を理由に、電波の運用、使用には厳しいルールが課せられています。そのため、新しい方式で電波を使おうとするならば、時間も手間も掛けて、様々なハードルをクリアすることが求められ(加えて多くの場合ARIBの会員になることも求められ)ます。電波を使った新商品は、簡単に出せる訳ではないのです。​

光って何?

光と電波は物理学的には全く同じ電磁波です。
どちらも、光速で伝搬し、質量がなく、エネルギーを伝達できます。光は非常に高い周波数の電波であり、その一部は目に見えるため「可視光線」と呼ばれ、それ以外にも人間の眼に波見えない「赤外線」や「紫外線」があり、これらをひっくるめて一般的に「光」と呼ばれています。物理的には同じ性質の光と電波ですが、法律的には全く異なります。電波法では 周波数3THz以下の電磁波を「電波」と定義しています。そのため、3THz以上の電磁波は電波ではなく法律的には「光」とされます。前述の様に電波には厳しいルールが課せられていますが、光にはほぼルールがありません。精々あるのは、アイセーフティという目の安全規格ぐらい。そもそも、ルールがないのは当然とも言えます。電波のルールは通信の干渉を防ぐために存在しています。しかし、光には、電波が発見される前から、無線通信が行われる前から、太陽、火、電灯など強力な「電磁波」を発生する装置(?)が存在していました。いまさら、どうやって太陽や火や電灯を規制できるというのでしょうか?
つまり、電波法のような規制が存在しない、存在できないのが、電波にはない光のメリットです。光無線通信においても、当然免許も技適も一切必要ないため、「いつでも使える、どこでも使える、誰でも使える」のです。

光無線通信の現状

「規制がない」こと、これは電波では絶対に実現できない、極めて大きなメリットです。三技協のLED Backhaulもそのメリットを活かすべく作られた製品です。しかし、そんな大きなメリットがあるにも関わらず、正直なところ光無線通信する機器は多くありません。なぜなのでしょうか?

光無線通信の始まり

電波と同じ電磁波でありながら、全くといっていいほど規制はされず、それでいて広い帯域が取れる「光」は古くから通信手段として期待はされてきました。光無線通信の元祖は狼煙だとか言われています。手旗信号やスポットライトによるモールス信号も光無線通信の一部と言っていいでしょう。電気通信装置として光無線通信が一般的になったのは「テレビの赤外線リモコン」が最初と言えるでしょう。テレビ用赤外線リモコンは松下電器(現パナソニック)が1972年に世界で初めて発売した[1]と考えられています。この最初の赤外線リモコンは当時開発されたばかりの赤外線LEDを使用したものでした。今でこそLEDは省電力な照明に使われているイメージがありますが、最初に注目されたLEDの最大の特長は、高速に点滅できて、点滅させても球切れしないということでした。それまでの光源であった、電球、白熱球は高速に点滅できない、かつ点滅で球切れしやすい[2]ですし、蛍光灯やネオン管はそもそも小型化が困難で通信に向いていません。とても小型で、それでいて点滅が自由で、しかも省電力なLEDの出現により、ついに光無線通信が可能になったとも言えるかもしれません。
その後、赤外線エアコンはビデオやエアコン、照明など様々なものに採用されていきました。現在はBluetoothを使ったリモコンもありますが、発売から45年経った今でもリモコンの主流は赤外線です。また、カラオケボックスで使われているコードレスマイクも赤外線による光無線通信が使われているものが多いです。一時期はIrDAという赤外線通信が携帯電話に標準装備されている時期もありました。しかし、残念ながらこれ以外の光無線通信で広まったものは「ほぼない」というのが現実です。
光は電波に比べ直進性が高く、透過、反射、回折での減衰も電波より大きくなります。そのため、ある程度の速度が必要な通信はLOS(Line of Sight:見通し内)通信が必要になり、携帯電話やWi-FiなどLOSが不要な電波よりも不便で光無線通信は広まりませんでした。つまり、規制がないというメリットよりも不便さのデメリットが上回ったということなのですが、実は広まらなかった理由はもう一つあります。それを理解するために、今使われている光無線通信の変調方式を見ていきたいと思います。

赤外線リモコンの変調方式

その赤外線リモコンの殆どはパルス変調の一つである「PPM変調」という変調技術を利用して通信しています。短いON(パルス)の後のOFFの時間の長さを信号とする変調方式です。ONの時間、つまり発光時間を短くできるため、消費電力をとても小さくできます。仮に0,1が均等に出現した場合[3]、発光時間は通信時間の1/3です。電池で長時間動作が必要なリモコンという装置に適した変調方式ですが、OFFの時間が長くなるため通信速度は遅くなります。

IrDA(1.1 IrFIR)の変調方式

IrDAには様々なバージョンがあり、バージョン毎に変調方式が異なっています。ここでは普及した方式のうちの4Mbpsと当時としては高速な通信であったIrDA1.1(FIR)について説明します。FIRは4値PPMとも呼ばれています。同期の取り方など特殊な部分はありますが、通信部分の変調は極めてシンプルです。2bitの情報(0~3)に従ってパルスの位置をずらすという方法です。これにより、発光時間は通信時間の2/7(0.29)となり通信速度のわりには電力の消費が抑えられます。

光無線通信の可能性

光無線通信には以下の様な特長があります。

  1. 帯域幅や出力、スプリアスなど、規制が全世界で全くない(必要ない)
  2. 使える周波数は広大
  3. LEDやフォトダイオード(PD)など、既存の通信「以外」の用途で開発されたデバイスが使える
  4. 既存技術(レンズやミラー)により、飛ぶ範囲を簡単にコントロールできる

とくに1,2は無線通信にとっては非常に魅力的でありながら、電波には絶対にできない(ありえない)ことです。すでに5G(携帯電話)では、これ以上無いぐらい効率的な通信[5]になっており、帯域幅を広げる(これは他の用途から周波数を奪う事を意味する)以外に、高速化の方法は無くなってきています。一方、光無線通信は、まだまだ発展途上です。高速化のボトルネックはLEDやPDといったデバイスの性能であり、デバイスさえ進化すればまだまだ高速化が可能です。現在はまだデバイス性能的に難しいですが、数年後にはより高速化が簡単なLD(レーザーダイオード)を使った光無線通信も出てくるでしょう。この様に考えると、光無線通信は、今後もまだまだ利用用途が広がっていく可能性を秘める、注目すべき通信方法と言えるでしょう。

  1. [パナソニック テレビと家電の歴史]
  2. 電球(白熱球)や蛍光灯には電源投入時に大きな突入電流が存在し、それが寿命を短くします。LEDは突入電流が微弱で寿命に影響がありません。
  3. 実際には、OFFの時間が長くなるように1が多くなるように信号を設計します。
  4. [JVCKENWOOD 高速光無線LAN OA-M301]
  5. シャノン限界を達成するPole符号を使用するなどの新技術を投入していますが、LTEと比べ周波数利用効率が大きく向上したわけではありません

LEDの性能とパルス変調

LEDの光は、p型半導体とn型半導体の接合部での電子の移動により、電気エネルギーが光(と熱)に交換され、放出されたものです。例えば、電球は発熱を光に変えています。蛍光灯は電子を蛍光体に当てて蛍光体を発光させています。つまり、電気(電流)を別のものに形を変えて発光しているわけです。そのため、徐々に光る感じになります。LEDはそれらと異なり、電気を直接光に変えているため、電圧を掛ければすとても高速に点灯し、電圧を下げればとても高速に消えます。電源を入れた瞬間から最大出力で光ることができるため、トイレ照明や懐中電灯などオンオフが激しい照明用途にとても向いています。 この様にとても高速なLEDですが、LEDとて消灯状態から完全に光るまでに全く時間がかからないというわけではありません。そして、その時間は通信デバイスとして見た場合には、無視できないほどの時間であり、通信デバイスとしては高速ではないのです。
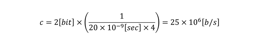
LEDに電流が流れてから、10%の光量から90%の光量にまで光るまでの時間をOptical Rise Timeとよび、その逆に電流が止まってから光が消えるまでの時間をOptical Fall Timeと呼びます。この値は、電流量やLEDの温度などでかなり変動しますが、現在のかなり高速と言われているLEDであってもそれぞれおよそ10ns(ナノ秒)程度かかります。つまり、点灯から消灯まで最低でも20nsはかかるわけです。これを先ほどのFIR方式の変調で、1パルス20nsかかるとして最大通信速度を計算すると以下の通りとなります。
ヘッダーやマージンなどを無視して最大限効率的に通信したとして、FIRの方式だと25Mbpsまでしか出すことができません。もちろん、LEDの出力を90%まで使う必要は無く、実質のRise Timeをもっと短くできると思いますが、それでもLEDの違いや、電流の違いなどのネガティブ条件を考慮すれば、安定して通信できるのは良くて数Mbpsと推測されますし、実際にFIRの最高速度は4Mbpsと設定されていました。

西暦2000年頃、まだADSLは普及しておらずダイアルアップやISDNが主流で、Wi-Fiは産声を上げたばかり、携帯電話もやっと第三世代(CDMA)に移ろうとしている頃、1Mbpsの無線通信は十分高速通信と言えるものでしたので、LEDの点滅能力でも対応できました。当時、光無線LAN[4]といった装置も存在しており、電波よりも優位な時期もありました。しかし時は過ぎ、FTTHが当たり前、Wi-Fiは11n(現Wi-Fi 4)となり、携帯電話がLTEの時代となってくると、通信の「高速」と言われる速度は100Mbpsを超えるようになってきました。残念ながら、LEDによる光無線通信は100Mbpsの時代にはついて行けなくなりました。電波無線が軒並み先進的で効率的な変調(OFDM)を使用している中、無駄の多いパルス変調を使っていた光無線通信は速度に追いつけなくなったのです。そもそもLOSでしか通信できないという光無線通信の弱点もあるため、光無線通信は、市場を形成することなく高速通信の用途として使えなくなりました。

新しい変調

しかし、2010年代に入り、また光無線通信が注目されるようになりました。その理由の一つは、LEDの進化です。青色LEDの発明により、LEDが照明用途やディスプレイ用途にも使えるようになりました。あらゆる光源はLEDに置き換わり、LEDそのものの市場が爆発的に大きくなりました。それに従い、LEDの開発製造競争は激しくなり、非常に高出力で高速なLEDが安く入手できるようになりました。LEDの高速化、高出力化はそのままLEDによる無線通信の性能向上に寄与しました。
もう一つは、OFDMの広がりです。光によるOFDMの詳細説明は第3章で行いますが、とにかくOFDMにはメリットが多く、通信の高速化には欠かせない「究極の」変調方式です。しかし、OFDMはこれまでの変調よりも計算量も多く、ハードウエア的な実装が大変でした。数が出る事が決まっている携帯電話やWi-Fiはいち早くチップ化でき、OFDMの恩恵にあずかれました。時が経つにつれ、他のそれほど数が出ない通信機においても徐々にOFDMが広まっていき、光無線通信という「ニッチ」な技術でもOFDMの恩恵を受けられるようになりました。帯域幅が実用上ほぼ無限に取れる光無線通信においてはOFDMの高速化のメリットを得ることができます。しかも、OFDMはパルス変調と比べLEDの性能を大幅に引き出すことができ、LEDでも100Mbps超の通信ができるようになりました。そして、2011年に発表されたLi-Fiにより、照明と通信が融合できるという可能性が発表され、再び光無線通信が注目をあびるようになったのです。

2. 光無線通信の種類

4つの光無線通信

光無線通信はリモコンやマイクのようなものから、衛星と通信するものまで様々な種類があります。その中でデジタル通信(言わばIP通信)することを目的とした光無線通信はおおよそ4つに分類することができます。本章ではその4つの光無線通信の用途や技術の違い、最近の動向について説明いたします。

4つの光無線通信は次の通りです。

バックホール型

  • 1対1か1対少数の通信
  • おもに地面に対し水平方向
  • 高速通信

光ID型

  • インジケーターLEDなど通信目的でないものと通信
  • 受信側はカメラ
  • 低速通信

Li-Fi型

  • 1対多数の通信
  • 照明などが通信装置になる
  • 高速通信

FSO型

  • 地上と衛星、衛星間など宇宙を含めた通信
  • レーザーを使った通
  • 中速通信

次項以降に、それぞの詳細を記載します。


 

バックホール型

  • 1対1か1対少数の通信
  • おもに地面に対し水平方向
  • 高速通信

製品例
三技協 LED Backhaul(R)

概要

バックホールとは、厳密に言えばユーザーに繋がる末端の回線と基幹通信網を繋ぐ回線のことを指しますが、ここではもう少し広い意味のバックホールとして、2つのネットワーク間を結ぶ回線の事を指しています。2点間を結ぶため、機器構成としては2台一組の1対1(Point to Point)通信であることが殆どあり、そのため、多くは地面に対し水平に通信することとなります。
携帯電話基地局、Wi-FiのAP(アクセスポイント)とインターネット回線を結ぶバックホールや、監視カメラ、遠隔操作など機器間を繋ぐバックホールとしての用途で使われます。また、IrDAのようなごく短い機器間の通信や、水中の通信などもバックホール型として分類されます。

技術要素

バックホールはその用途から、できるだけ高速な通信が求められ、そのためには、光の信号に対して高い強度(とSN比)が必要となります。光は電波と同じ性質のため、電波と同じように距離の二乗に比例して減衰します。この大きな減衰をカバーするため、電波ではアンテナ(空中線)を使用し、指向性を上げることで利得を稼ぎます。光においてもおなじですが、光におけるアンテナの役割はレンズが果たします。直進性の高い光は、電波よりも格段に指向性を上げやすい性質があります。バックホール型の光無線通信機は、レンズによって利得を上げることで、高速・長距離を実現します。レンズの利得は、焦点距離(レンズと受光素子)の距離が長いほど指向性が高くなるため利得が上がり、また、レンズが大きいほど受光面積が増えるため利得が上がります。これは、カメラの望遠レンズとおなじ事で、長距離、高速の通信を目指すほど機器サイズが大きくなる傾向にあります。
一部のFA、IoT用途向けのものには一方向通信のものがありますが、近年はあらゆるものがIP通信となってきているため、双方向通信(二重通信)であることが多くなっています。双方向通信タイプは、現在、WANの分類となるIEEE802.15.13という規格で標準化が進められています。

Li-Fi型

  • 1対多数の通信
  • 照明などが通信装置になる
  • 高速通信

概要

Li-Fiという単語は、英国エジンバラ大学のハース教授が2011年のTEDにて提唱した[1]のが始まりといわれています。照明のWi-Fi、すなわちLight Wi-Fiを略してLi-Fi(ライファイ)[2]と命名しました。その語源の通り、照明機器のように天井から光を照射して、その光の範囲内でWi-Fiの様に光無線通信が行えるというものです。当初は、照明器具の照明光(白色光)に載せて通信する機器のことをLi-Fiと呼んでおりましたが、現在は照明光で通信しない(赤外線や紫外線で通信する)ものもLi-Fiと呼んでいます。用途的に天井、又は壁面高い場所と机や人の高さとの通信になるため、地面と垂直方向の通信となります。バックホール型との違いは、1対多数、および通信方向(水平・垂直)という部分です。 尚、前述のハース教授は[pureLi-Fi]という会社を立ち上げ、現在もLi-Fi技術をリードしています。

技術要素

Li-Fiは、一定のモビリティを確保する必要があるため、ある程度光を広げる必要があります。その一方で、LED照明として成立する程度の距離をカバーすれば良いため、必要な通信距離は最大でも5m程度です。光の範囲を広げるために、Li-FiはLED照明と同じようにLEDを複数個使うことが多いようです。光無線通信にEIRP(等価等方輻射電力)制限はありませんので、LEDを何個使おうが自由だからです。
地面に垂直に通信すると言うことで、屋外で通信する場合は太陽光が最大の干渉源となります。残念ながら、現状では太陽光を画期的に防ぐ方法は無く、それ故Li-Fiは屋内での使用が前提となります。
Li-Fiは照明型であるため白色光で通信するのが望ましいです。しかし、かつてのLED照明は青色LEDを黄色蛍光体に当てるだけの擬似的な白色光でしたが、最近のLED照明は自然な白色光を再現するために複数の蛍光体やLEDによる繊細な調光を行っています。LEDの照明としての性能と、点滅を含む通信としての性能を両立する、すなわち、色彩を保った上で高速通信を行うことは難しくなりました。そのため、照明機能は有せず、赤外線や紫外線など不可視光を使って通信するLi-Fi装置も増えてきています。
Li-Fiは1対Nの通信を前提とするため、(光通信技術そのものとは別に)マルチアクセス性能やハンドオーバーといったモビリティ性能も求められます。それら機能も含めWi-Fiの接続プロトコルに合わせるべく、現在はIEEE802.11bbという規格で標準化が進められています。

光ID型

  • インジケーターLEDなど通信目的でないものと通信
  • 受信側はカメラ
  • 低速通信

概要

現在、至る所で使われているLEDですが、別の用途で使われているLEDの光に信号を載せて、それをスマートフォンなどのカメラで撮影することで信号を受信するというのが光ID型です。カメラで受信するだけなので通信速度は速くありません。例えば、エアコンのLEDインジケーターの点滅に信号を載せ、様々な情報をスマートフォンに渡す、ビルの制御盤にあるLED動作ランプに信号を載せ、スマートフォンをかざすだけで機器の情報を取れる、デジタルサイネージで使われる液晶モニターのLEDバックライトに信号を載せ、デジタルサイネージにスマートフォンをかざすと情報を取れる、といった使い方がされています。通信できる距離や速度は異なりますが、現在は「QRコード」的な使い方をされていることが多いです。

技術要素

LEDの点滅や色の変化をカメラで取得し、それを信号に置き換えます。受信側がカメラのため、通信は一方向だけです。また、カメラの受信速度は、バックホール型やLi-Fiの受信で使われているフォトダイオードと比べるとかなり遅いです。それは、フォトダイオードが単にエネルギーを取得するだけの「単一素子」であるのに対し、カメラは数千万、数億のフォトダイオード素子により「画像の取得」をする装置だからです。光ID方式は、カメラのfpsがそのまま通信速度の上限を決める(標本化定理)ため、通信速度は最大でも数百bpsと低速で、通信と言うよりは文字情報やWebアドレスのような僅かな情報だけを提供することに向いています。

FSO (Free Space Optics) 型

  • 地上と衛星、衛星間など宇宙を含めた通信
  • レーザーを使った通信
  • 中速通信

実例
NICTによる国際宇宙ステーションとの[通信実験]

概要

FSOの単語の意味は光無線通信全体の事を指しますが、現在FSOというと、地上と衛星間、衛星と衛星間のレーザーによる通信を指すことが殆どです。
近年、超小型衛星などの影響で衛星数が爆発的に増えてきた影響で、衛星が使える周波数は不足の一途を辿っています。衛星が使う電波は国際的な取り決めの上割り当てられるため、他の電波と比べてもステークホルダーが多く、割当帯域を増やすは困難を極めます。そういった事情もあり、自由に使える光無線通信のニーズは、衛星の数が増えるのと同じく劇的に増えています。

技術要素

バックホール型よりも、更に長距離の通信が必要とされるため、FSOにはレーザーが使用されます。レーザーはLEDなどの自然放出(Spontaneous emission)による光と異なり、波長、位相が揃ったコヒーレント光と呼ばれる光のため、光を拡散させずに長距離飛ばすことができます。また、レーザーはその発光の仕組みからLEDよりも点滅を高速にでき、通信を高速に行うことができます。ただし、非常に狭い範囲しか光が飛ばず、高精度のレンズや方向調整機器が必要で、レーザー発振器そのものも高価なため、衛星通信のような高精度だが高価が許される通信に用いられます。
地上と衛星の通信においては、距離が長い分、変調などの通信方式よりも、大気中の散乱・減衰・屈折の変化のほうが影響が大きくなります。特に、雲が出ると通信ができなくなってしまうことから、それを回避する方法(例えば複数の地上局を用意する等)も必要となります。
  1. Harald Haas TEDGlobal 2011 : [Wireless data from every light bulb]
  2. Wi-Fiの語源の「Wireless Fidelity」から、Li-Fiは「Light Fidelity」の略が正式。

3. 光無線通信の技術

本章は、電波による無線通信と光無線通信の違いを説明します。光の世界では、光の周波数(色)を表す場合、通常波長(単位はナノメートル)が用いられますが、本章では電波通信を基準として比較説明するため、あえて周波数を用いて説明しています。ご了承下さい。

変調

周波数の考え方

電波においては、変調した信号に対し、混合器を使って搬送波という正弦波を掛けることで、希望の周波数の電波に変えることができます。搬送波は通常正弦波で発振器によって生成されます。発振器はコイルやコンデンサなどで作れますし、近年(といっても昔からありますが)では水晶発振器という高精度の発振器もあり、搬送波はかなり容易、かつ高精度に作成できます。混合器ですが、二つの周波数の「積」は、二つの周波数の和と差で表現できるという特性から、混合器も回路的に比較的簡単に実現されます。
電波において、送りたい信号の周波数を変更するのは非常に容易なため、最終的な送信周波数に変えるだけでなく、殆どの無線機器では中間周波数という内部で扱いやすい周波数への変更も行われています。受信側も同じように混合器を使うことで受信周波数を簡単に切り替えることができます。テレビ、ラジオでチャンネル、つまり周波数を切り替えることができるのも、これら特性によるものです。

一方、光無線においてはLEDが発振器となります。LEDはエネルギーの変化により物質を光らせる装置です。LEDが周波数(つまり色)を変えることができるのは、素材の違いによるものだけです。電気的に周波数を変えることはできません。また、物質を光らせているという特性上、LEDからは特定波長の正弦波が出ているわけでは無く、位相の揃わない光が、ある程度の範囲の周波数の範囲にバラバラに出ているのです。例えば、通常の赤外線LEDだと、20THz(テラヘルツ)以上もの帯域幅で光が出ていますが、これでもLEDは発光素子としてはとても狭い周波数幅の光しか出ないと言われています。これだと搬送波周波数などあってないようなものですから、残念ながら光は混合器で周波数を変えることができません。

一方、光無線通信の受信側を考えてみます。光無線通信の受信側は、ほぼフォトダイオード(PD)か、それに準ずる装置で構成されます。PDは、光電効果により光のエネルギー(=受信電力)を取得する装置です。PDによって得意とする周波数がある、いわゆる周波数特性といったものは存在しますが、周波数を感知することはできません。CCDやCMOSなどのカメラセンサーは色を取得しているように見えます。しかし、CCDもCMOSも中身は小さなPDの集合体です。カメラセンサーの1画素にあたる「3つの小さなPD」に赤、緑、青それぞれのカラーフィルタを掛けることにより、赤色、緑色、青色の光の強さのみを測定しています。つまり、微細な色を再現しているように見えるカメラも、精々赤、緑、青のような「ざっくりとした」周波数の区分けで受信しているだけで、電波のように正確に周波数単位で受光している訳ではありません。プリズムや回折格子等での分光も可能ですが、機器に精密さ(=高額)を必要とする割りには結局は電波レベルからみれば「ざっくりとした色分け」程度しか分解できません。つまり現在の技術ですと、光無線通信では電波のように周波数を特定して受信をすることはできない[1]と言えるでしょう。
これらの特性により、光無線通信では、電波では主流である周波数や位相による変調が行えません。変調で使える成分、つまり信号を載せられる要素というのは、光の強さと時間だけです。光の周波数は、現在の通信速度から言えば無限とも言えるほどの帯域がありますが、発光デバイスの特性による様々な制限があり、電波と同じ感覚で周波数が使えるわけではないのです。

光無線通信の変調

前項で述べたとおり、変調で使えるのは光の強さ、それと時間だけになります。光の強さといっても電波でいうところの電界や磁界ではなく「電力」ですので、プラスの値のみを取ります。電波のような検波器を使用した検波(同期検波)は使えません。そのため、光無線通信ではIM-DD方式が使われます。IMはIntensity Dodulationの略で強度変調と訳され、DDはDirect Ditectionの略で直接検波と訳されます。IM-DDと大層な名前が付いておりますが、要は光の強さで変調し、光の強さを直接波に変換するという、極めて原始的な変調方式です。ただし、光無線通信は「電圧を直接光に変えられるLED」と「光を直接電圧(電流)に変換できるPD」の組み合わせになるため、IM-DD方式とは非常に相性が良く、機器構成が簡易となるメリットがあります。
光無線通信と他の電波無線通信で大きく異なるのは、常にノイズが非常に多い環境であることです。免許制を取る電波では、原則「他の電波はない」という環境での通信となるため、無線空間上のノイズ源は限られます。実際多くは、反射波などの自分自身が出した電波が最大のノイズ源となります。それに対し、光無線通信では、既存の「発光するもの」全てがノイズ源となります。特に、最大のノイズ源は太陽です。太陽光は、幅広い周波数に対して広がっている(だから白色に見える)上に、その強さは他と桁違いです。(例えば、受信するだけで何十ワットも発電できるほどの電波があるか考えてみて下さい。)光無線通信では、その太陽光を含め強いノイズ環境での通信が求められるため、ノイズに強い変調方式が使われてきました。その一つが、パルス変調です。

パルス変調

パルス変調は、文字通りパルス状の矩形波で通信する方式です。パルス変調にはいくつかの種類があります。パルス幅変調(PWM:Pulse Width Modulation)やパルス間隔変調(PIM:Pulse Interval Modulation)は、パルスの持続時間が情報になります。赤外線リモコンで使われている変調は、PPM(Pulse Position Modulation)です。パルスと時間的位置が信号となる通信です。PPMは光が点灯している時間を短くできるため、リモコンのような超省電力が求められる通信に向いています。いずれも、パルスの強さ自体には情報は載っていません。パルスの存在さえ分かれば信号が受信出来るため、ノイズに非常に強い通信と言えます。
パルス変調で更なる高速化を求める場合、振幅(正確には受信強度)にも情報を載せることができますが、この場合はノイズ耐性が下がります。パルスの幅を狭めて高速にするという方法もあります。しかし、これには2つの制限があり、高速化には上限があります。一つはLEDの性能、もう一つはシンボル間干渉(ISI:Inter-Symble Interference)です。
LEDの光は、p型半導体とn型半導体の接合部での電子の移動により、電気エネルギーが光(と熱)に交換され、放出されたもので、「自然放出」に分類されます。消えている状態から、完全に点灯するまでの時間、そして点灯状態から完全に消えるまでの時間、すなわち点滅時間は人間の眼には見えないほど短いとは言え、通信にとってはそれなりに長い時間になります。LEDに電流が流れてから、10%の光量から90%の光量にまで光るまでの時間をOptical Rise Timeとよび、その逆に電流が止まってから光が消えるまでの時間をOptical Fall Timeと呼びます。この値は、電流量やLEDの温度などでかなり変動しますが、現在のかなり高速と言われているLEDであってもそれぞれおよそ10ns(ナノ秒)程度かかります。つまり、点灯から消灯まで最低でも20nsはかかります。最大出力を半分にすればOptical Rise/Fall Timeが小さくなりますが、その分ノイズに弱くなり折角のパルス変調のメリットが低下します。
ISIは、反射波、回折波などが多くあるマルチパス環境下で発生します。送信された光は、様々なパス(経路)を通り受信点に到達します。その中で最も受信強度が強いパスから来た光、これは多くの場合最も速く到達する光である事が多いですが、その光を通信機は受信信号として使いたいと考えます。しかし、反射などパスの違う光が、その強い光から少し遅れてやってきて、しかも、それらは全て強力なノイズとなります。
パスの距離差が1mあった場合、2つのパスの時間差は3.3nsです。仮に3mのパスの差が考えられるシステムであれば、シンボル間に10ns程度のガードインターバルを取る必要があります。赤外線リモコンのような低速通信であれば、そのような時間マージンを十分にとることが可能ですが、通信が高速化かすればするほど、正確に言えばシンボルあたりの時間(シンボル長)が短くなればなるほど、影響が大きくなります。このISIは光に限らず、すべての無線通信において発生する問題ですが、特に単純なパルス変調はISIに非常に弱い性質があり、「高速が必要な」無線通信としては限られた用途にしか使用することができません。携帯電話のような、比較的通信距離が長く、見通し外通信が多く、それ故可能性のあるパスが多数あり、遅延幅も大きくなるシステムでは、ISIの影響はさらに重大になります。携帯電話もISIの影響に悩まされてきましたが、第三世代(CDMA)以降のシステムではISIに強い変調方式を使い問題を回避しています。

現代の光無線通信

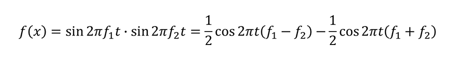
これまで無線通信を高速化、高効率化するために、様々な変調方式が考えられてきました。第三世代携帯電話でも使用されたCDMA、Bluetoothで使われている周波数ホッピングといった方式もありましたが、21世紀以降、高速無線通信を謳う殆どのシステムはOFDM(Othogonal Frequency Division Multiplexing)変調を使用しています。Wi-Fi、第4世代携帯(LTE)、第5世代携帯(5GNR)の様な通信、デジタルテレビ放送もOFDMを使用しています。OFDMが様々なシステムに使用されているのは、以下の様な特長があるためです。
  1. 周波数利用効率
  2. 周波数帯域幅(もしくは使用するサブキャリア数)を柔軟に変更できる
  3. ISIに強い
  4. 低周波数ノイズに強い

いずれも無線通信にとって非常に重要な要素であり、これら特長があるからこそOFDMは様々な高速無線通信に採用されているのですが、実はこのうちの1.と2.は帯域が自由に使える光無線通信においてはさほど重要な要素ではありません。しかし、3.と4.は光無線通信においても非常に重要な要素です。
ここで、OFDMが何故3.と4.の特長があるのか簡単に説明します。OFDMは数多くの狭帯域通信を(逆)フーリエ変換によって1つにまとめることにより、全体として高速通信する技術です。サブキャリアと呼ばれる一つ一つの狭帯域通信は低速な通信ですが、それが沢山あるため高速に通信できます。サブキャリア単位で見ると低速通信のため、シンボル長(一つの信号を送るのにかかる時間)が他の高速通信、例えば直接拡散するCDMA等に比べて長くなります。シンボル長が長いということは、それだけ大きな時間的なマージンを取ることができることを意味します。時間的マージンがあればISIの影響は小さくなります。例えば、図のように10nsの遅延を想定しなければいけない場合、シンボル長が30nsだと、通信時間の33%をガードピリオドとして破棄しなければなりませんが、シンボル長が100nsあれば、破棄するのは10%で済みます。この様に、同じ通信速度であればシンボル長が長いほどISIの影響が少なくでき、シンボル長が長くなるOFDMはそれだけISIに強い通信であると言える[2]のです。
フーリエ変換は、時間信号を周波数成分にする、もしくは逆に周波数成分を時間信号に変換する計算です。OFDMの無線信号は時間信号で、受信した時に周波数成分に変換されます。復調の段階で受信信号はすべて周波数別に分解されるため、直流成分や低周波成分と本来信号が載っている高周波成分は明確に分離され、必要の無い周波数は無視されます。この様な性質により、OFDMは低周波ノイズにとても強い通信と言えます。

これら2つのメリットがあるため光無線通信にもOFDMが使えればいいのですが、「強さ」でしか通信できない光無線通信ではそのままではOFDMが使えません。仕方が無いので、光無線通信では光の「強さ」にOFDM信号を載せます。これにより、3.と4.の特性を活かした光無線通信が可能になります。この光の「強さ」にOFDM信号を載せる変調方式、つまり前述のIM/DDにOFDMを載せる方式をDC(Direct Current)-OFDM(もしくはDC biased OFDM)と呼んでいます。DC-OFDMにより、パルス変調と比較にならないほど効率的な通信可能となります。

ただし、DC-OFDMはパルス変調の弱点である「ISIへの弱さ」を解消するものであっても、もう一つの問題点である「LEDの即応性の遅さ」を解消できるものではありません。OFDMは多数のキャリアを重ねる方式のため、シンボルのパターンが多く、他の通信と比べピーク値[3]が高くなります。電波無線のOFDMでは線形性の高い増幅器を用いることが求められます。LEDでもそれは同じであり、ピークからピークに遷移する時間、すなわちOptical Rise/Fall Timeが短いことも必要ですし、電圧に対する発光量の線形性も必要です。しかし、それでも単純なパルス変調で高速化を目指す場合よりもLEDの即応性の影響は小さくなり、DC-OFDMはパルス変調と比較し相当な高速化が望めます。三技協のLED Backhaulでは、このDC-OFDMを採用し、パルス変調ではできなかった最大通信速度750Mbpsの高速通信を実現しています。

電波と光の異なる部分

LEDの出力と通信距離

電波においては、同じ周波数、アンテナであれば出力が大きいほど電波は遠くまで飛びます。電波は距離の二乗に比例して減衰しますので、出力値の最大通信距離に対する影響は1/2乗[4]に留まりますが、それでも大きなファクターである事は言うまでもありません。1km程度の範囲しか飛ばさない携帯電話の基地局は最大でも20W程度の出力ですが、TVの電波を100km飛ばすため東京スカイツリーからは各局10,000Wの出力で電波が吹かれています。光の場合、特にLEDの場合はどうでしょうか?まったく同じLEDであれば、電波と同じように出力が大きい程、通信距離は伸びます。しかし、異なるLEDである場合はそう簡単な話ではなくなります。それは、光がアンテナではなくレンズを使っていることに由来します。

LED照明を思い出して下さい。出力が大きい照明機器が使っているLEDはどうなっているでしょうか?複数個のLEDを使っている場合が殆どだと思います。LEDのシーリングライトだと、1台あたり100個以上のLEDが使われている場合あります。それは照明器具としては点より面で光らせた方が良いという理由もありますが、そもそもLED1つ当たりの出力があまり高くないため、照明としての光量を得るために複数のLEDを使う必要があるのです。LEDは半導体に電圧を掛けて光らせる装置で、電球や蛍光灯などのこれまでの光源よりも非常に効率よく発光できますが、それでもかなりの熱を放出します。そして、LEDは熱に弱いため、その熱が放出できないと寿命が著しく短くなります。技術開発が進みLEDの効率化、高放熱化、高耐熱化が進んでいますが、それでも小さなLED1つで照明に十分な光を出すのは難しいのです。LED照明器具(シーリングライト、電球)は、強い光を出すために、面積の大きなLEDを使用するか、複数のLEDを使用するか、もしくはその両方(面積の大きなLEDを複数個)を使用します。LEDで大きな光を出すためには「面積」が必要であると言い換えることができるでしょうが、このことは別にLEDに限ったことではなく、電球から最新の有機LEに至るまでほとんどの光源[5]で同じ事が言えます。小さい光源から強い光を出すのは難しいのです。

光はとても周波数が高い電波とも言えます。周波数がとても高いので、一般的に使われている電波より直進性がかなり高いです。そのため、光をまとめて真っ直ぐに飛ばすと、そのままあまり広がらずに真っ直ぐに飛びます。舞台などで使うスポットライトをイメージして頂くとわかりやすいでしょう。大きな会場ですと、かなり離れたところから演者に向けて光を当てますが、それでもスポットライトが当たる丸い範囲だけが明るく、その周辺は暗いままになります。スポットライトのように真っ直ぐに飛ばした光をコリメート光(平行光)と呼びます。このコリメート光は必要な場所にエネルギーを集中できている状態を意味します。したがって、光を遠くに飛ばしたいのであれば、このコリメート光を作れば良いわけです。
光というと「集光」するというイメージがあり、虫眼鏡のように1点に集めると利得が上がり遠くまで飛ばせるとイメージされるかも知れません。もちろん通信距離に対して光の焦点があっていればそれが一番高利得になり、通信距離も長くなりますが、当然、焦点が合っていない場所では逆に拡散していきますのでので通信できる距離は短くなります。距離が数十センチと短ければ焦点を合わすことも可能でしょうが、100mを超えるような距離で焦点を合わすのは現実的ではありません。ですから、こと光無線通信においてはコリメート光を作ることが、もっとも通信可能な距離が伸びる方法となるのです。

これまで説明したとおり、(おなじシステムだとして)光無線通信の通信距離を伸ばすのは、「LEDの出力」と「コリメート光」の二つのパラメータです。コリメート光は理想的なコリメート光、つまり全ての光が完全に平行になっている状態に近いほど、その利得が高くなります。コリメート光を生成するレンズは通常の球面レンズです。これはレンズの中心軸上にある光を平行にしますが、中心からずれた光は平行にならずに広がってしまいます。それは、中心からずれた光は、レンズに当たる際の角度が理想の角度と差異があるためで、中心から距離があるほど角度の差異が大きくなりコリメート光にならず広がってしまいます。この差異を小さくする方法は2つあります。一つは光源とレンズの距離を広げること、すなわち焦点距離を長くすることです。レンズまでの距離を広げることでレンズへの入光角度は全体に浅くなり、結果角度差異が小さくなります。もう一つは、光源を小さくすること。光源が小さければ小さいほど理想的な点光源に近付き、理想的なコリメート光に近くなります。ただし、光無線通信を考えた場合、どちらにも問題点があります。
焦点距離を広がる方法を採った場合、これは物理的な距離を取ることになりますから装置のサイズが大きくなります。そして、焦点距離を広げることは、レンズに入る光の量を下げることでもあります。コリメート光になるのは、光源からレンズに当たる光だけです。同じレンズ径であれば、レンズを透過する光の量は焦点距離の二乗に反比例します。つまり、コリメート光にするため焦点距離を倍にすると、レンズを透過するエネルギーは1/4になってしまうのです。このエネルギーの減衰と、焦点距離を伸ばすことによる利得の向上、そして装置が大きくなることのデメリット、これらを総合的に判断して決定する必要があります。
光源を小さくすることそのものはメリットしかありません。しかし、LEDの特性上、出力を上げるには光源面積を広げなければなりません。光源面積が小さく、且つ高輝度のLEDが望ましいことに間違いありませんが、光源面積を取るか、出力を取るか、これらは結果的にどちらがコリメート光成分の出力が大きくなるかで決定する必要があります。ただし、高速通信まで考えた場合、出力が小さい方が、電流幅が小さくなる分LEDの反応速度が速くなる可能性が高く、高速通信には有利になるということを考慮しておく必要があります。
光無線通信、とくにLEDによる光無線通信では様々な物理的な制約があり、通信距離を伸ばすのが難しいということを述べました。逆に、距離はいらないからLiFiの様に通信範囲を広げたいという場合はどうでしょうか?電波無線、特にアンライセンスバンドの無線においては、遠くへ飛ばすことと、広く飛ばすことはトレードオフの関係にありました。電波はEIRP(等価等方輻射電力)で制限が掛けられているため、遠くへ飛ばすためには出力を下げて高利得アンテナを使う、広さを得るためには出力は上げられますが低利得のアンテナで通信をする必要がありました。つまり、遠くに飛ばすためには広がる角度を狭める、広く飛ばすためには飛ぶ距離を狭める必要がありました。一方、光無線通信の場合は「法的制限がない」というメリットが効いてきます。光無線通信においては出力もEIRPも制限が無く、いくらEIRPを上げてもよい[6]です。つまり、光を広げたい場合は、LED照明と同じように沢山のLEDを使えば良いのです。機器のコストさえ見合えばですが、遠くに飛ばすためのLEDとレンズを沢山並べて、遠くに、かつ広い範囲で飛ばすと言うことも可能です。

送信と受信の差

双方向通信を行う電波無線の装置は、送信と受信の周波数を分ける「FDD(Frequency Division Duplex)」か、送信と受信の時間を分ける「TDD(Time Division Duplex)」のどちらかを使用します。第三世代までのほぼ全ての携帯電話[7]と第四世代携帯電話の多くは「FDD」で、Wi-Fiや第五世代携帯電話は「TDD」を使用しています。このように送信と受信を明確に分離するのは、言うまでも無く、自分が送信した電波を自分で受信してしまう事を防ぐためです。一方、光無線通信において、この送信と受信は「分けなくても良い」のです。直進性が高い光は、送信した光が戻ってくる量が電波と比較し極めて少ないです。したがって、送信と受信で同じ周波数を使っても良いですし、違う周波数を使ってももちろん問題ありません。TDDの様なシステムを使ってもよいですが、さほど意味はありません。この送信が受信に回り込まないという特性は、1台の時よりも、複数台を同じ場所に設置したときにより効果を発揮します。例えば、無線機で図のような中継(リレー通信)を行う場合、電波無線の場合は、2台の無線機器の周波数(チャンネル)を変える必要がありました。それは、一方の機器から送信された電波がもう一方の機器が受信してしまう、一方の機器が受信しようとする電波は、もう一方の機器デモ受信してしまうためです。一方光無線通信は、送信方向の逆方向に戻ってくるエネルギーが極めて小さいため、もう一方の機器の受信に全く影響を与えないのです[8]。そのため、同じ周波数の光で中継を行っても、干渉で速度が低下するという事はありません。
電波無線の場合、送信と受信のアンテナは同じものを使います。FDDであればデュプレクサ(分波器)を用いて周波数を分離し、TDDであれば時間で分離されているので特別な装置は必要ありません。光無線通信の場合はどうでしょう?こちらの答えも同じアンテナ(レンズ)を使っても良いし、違うアンテナを使っても良い、つまり「どちらでも良い」です。電波無線において送受信同じアンテナを使う理由は、装置サイズの低減とコストダウンです。光無線通信においても同じで、特に高価、または大型のレンズであったり、焦点距離が大きかったりする場合、送受信でレンズを共用することも考えられます。しかし、その場合光学的デュプレクサ(ミラーやプリズム)による減衰を3dB以上受け入れなければなりません。送受信で異なるレンズを使用する場合は、サイズ、コストのデメリットはありますが、光学的には自由に設計することが可能となります。 光無線の場合、送受信で、共用、非共用に限らず、送受信で全く同じ種類のレンズ、同じ焦点距離であったとしても、レンズの利得、電波のアンテナで言えばアンテナパターンが異なります。電波でもFDDの場合は、周波数の違いにより送受信でアンテナパターンは若干異なることがありますが、実用上は利得もパターンもほぼ同じです。一方、光の場合は送受信で同じ周波数であってもパターンはかなりの違いが出ます。前項で説明したとおり、レンズの特性が理想通りとなるのは面積が0に等しい点光源である事でしたが、当然受信側も受信面の面積が0になるほど理想的な受信特性になります。しかし、受信素子、すなわちフォトダイオードはLEDよりもさらに面積が必要です。フォトダイオードは光電効果(太陽光発電も光電効果の一種)で信号を受信します。そのため、面積が大きいほど受信感度は高くなりますし、逆に一定以下の面積にすることもできません。一般的にフォトダイオードはLEDとくらべずっと大きい受光素子を持ちます。そのため、光無線通信においては、送受信で同じレンズを使っていても、受信の方がより光の角度が広くなり、その分利得が低下します。

太陽光の存在

光無線通信と電波無線通信の大きな違いは、前提となるノイズレベルの違いと言えるでしょう。電波無線の場合、免許が必要な周波数であれば自システム以外の電波はないものとして考えられます。免許不要の周波数、例えばWi-Fi等が使っているISMバンドであっても、自由に出力して良い訳ではなく、各機器は電波法(すなわちARIBスタンダード)に準拠する必要があり、各機器の出力(EIRP)、はたまた送信時間まで細かく制限されています。例えば、携帯電話のアップリンクはもの凄い数の携帯電話が好きな場所で電波を発射するため、非常に無秩序で干渉しているように思えますが、個々の電話の出力、送信タイミング等は細かく管理され、全体の干渉レベルは厳密に管理されています。
光無線通信の場合、通信以外の干渉が大量にあり、誰も監視していません。皆様に見えている光も含めて干渉源は沢山あります。家の中には30~40Wの出力をもつ装置が何個もあり、自由に点灯しています。そして、特に影響が大きいのは太陽光です。この太陽光の影響により、屋外の通信を困難にしてます。まず、太陽光は圧倒的に強いです。照明用電気と比べて3桁、すなわち30dBほど強い光になります。ここまで強いと、いくら直流成分をキャンセルできるOFDMといえ無視できませんし、フォトダイオード含む受信系のダイナミックレンジを超えてしまうこともあるでしょう。そして、もう一つの問題点は、出している周波数が幅広いということです。大気の吸収特性により多少のでこぼこはありますが、赤外線から紫外線まで広い範囲にほぼ満遍なく強い光が出ています。そのため、太陽光は「帯域フィルタ」でカットすることができません。屋外での光無線通信は、太陽光のノイズが必ずあるという条件下で行う必要があります。
現状では、受信部に直射日光が当たる状況での光無線通信、特に高速通信は不可能に近いです。そのため、LiFi型のような地面に垂直方向で通信するシステムは、屋外では使えないと考えられています。 バックホール型のように地面に平行方向で通信するシステムであれば、直射日光を避けることは可能です。バックホール型でも受光素子(PD)に直接日光が当たる状況(つまり、通信方向に太陽がある状況)では通信ができなくなる可能性がありますが、殆どの場所では山や建物によって遮られ水平方向の日差しを受けないですし、そもそも朝日や夕日の光の強さは比較的弱いためさほど問題にはなりません。それよりも、受光素子に直接日光が当たらずともレンズに強い日光が当たることで、レンズで乱反射した一部の光が受光素子に当たる、カメラ用語でいう「レンズフレア」が発生する状況下においては、太陽光による干渉が大きくなりS/Nが大きく低下することがあります。それを防ぐために、これまでの機器は「ひさし」を付けていました。しかし、ひさしで完全に直射日光を防ごうとすると、長いひさしが必要となり装置サイズが大きくなってしまいます。例えば、東京において日差しの強い午前9時から午後3時までの直射日光を完全に防ぐことを考えてみます。その間の東京における太陽高度は、12月中旬の約13.8°が最低となります。レンズの直径が10cmだった場合、その直射日光を防ぐのに必要なひさしの長さは、レンズ直径の約4倍、つまり40cmになります。40cmのひさしというのは装置サイズに対してあまりに大きすぎます。 バックホール型光無線通信機である三技協のLED Backhaulでは、写真の照明でつかうハニカムフィルター(ハニカムグリッド)を用いて直射日光を防いでいます。バックホール型では、通信相手の機器がある程度遠くにある事が前提となるため、受光できる光は狭い角度の範囲(=ほぼ正面)から来るコリメート光に近い光になります。すなわち、信号を含む光はほぼレンズに対して垂直な光となるため、ハニカムフィルターのような垂直方向の光だけを通過させる装置を付けても信号強度はさほど落ちないのです。そして、ハニカムフィルターは角度の着いた光は全て遮光できます。そのため、太陽光であっても、正面に近い方向以外の、ほぼすべての太陽光を防ぐことができます。
LED Backhaulでは、およそ1cmの厚さを持つハニカムフィルターを使用して、プラスマイナス10度より外の角度からの太陽光をすべてカットするような、非常に細かいフィルターを使っています。それにより受信感度が1dB程度低下してしまいますが、その代わりバックホールとしての実用上ほとんどのロケーションで太陽光を気にしなくても良くなりました。また、これは太陽光との角度が10度以上あれば使える事を意味し、沖縄、離島を除く日本であれば地面と垂直に設置しても通信ができるようになりました。もし、このハニカムフィルターと同程度の太陽光遮蔽能力を持つひさしを作ろうと思えばその長さは56cmにもなり、とても現実的な長さとは言えません。このハニカムフィルターのお陰で太陽光の問題はほぼ解決でき、これにより屋外での光無線通信が可能になったともいえるでしょう。
  1. 光ファイバーの世界では、レーザーを使った同期検波方式も使われるようになっています。
  2. OFDMでは、単に時間的に空けるのではなく、CP(Cyclic Prefix)というシンボルの後ろ側を前に付ける方法により、ISIの影響がさらに小さくなります。
  3. OFDMは平均電力値と比較したピーク値(PAPR:Peak to Average PowarRatio)が高いと言えます。
  4. 例えば出力1W、100mで通信できる場合、出力を倍の2Wにすると通信距離は2^(1/2)=1.41倍の141mに伸びます。
  5. 例外はレーザーですが、それについては別の機会で。
  6. 目を守るための「アイセーフティ」基準があるため、一定の制限は存在します。
  7. 第三世代携帯電話にも免許は割り当てられたものの実用化されなかった「TD-CDMA」と、中国が開発した「TD-SCDMA」という2つのTDDシステムが存在しました。
  8. 電波でいえば、「FB比(Front Back Ratio)を極めて大きくできるので、機器間のアイソレーションが大きく取れる」といえます。

4. LED Backhaulの特徴

株式会社三技協が製造・販売しているLED Backhaul(以下LED BH)は、バックホール型光無線通信機機器です。送信素子として近赤外線LED、受信素子としてフォトダイオード(PD)を使用しており、通常2台のLED BHを正対させて、1対1の通信を行う装置です。本章では、LED BHの光無線通信機器としての技術的な3つの特徴を説明します。光無線通信自体の特徴については、第1~3章をご覧下さい。

概要

LED BHはバックホール型光無線通信機で、最大通信速度750Mbps、最大通信速度300mの性能を持ちます。現在、市販されているLEDを利用した無線通信機器としては世界最速を誇ります。その技術の元となっているのは、現在光無線通信の分野で先頭を走る、FraunHofer(フラウンホーファー) HHI研究所[1]の光無線通信技術です。その研究所の技術供与を受け、世界で初めて製品化されたのが、このLED BHです。 光無線通信でありながらハニカムフィルターにより屋外での通信を可能としており、世界で唯一の実用的な屋外バックホール型LED光無線通信機です(もちろん屋内でも使えます)。

特徴1: 光学的性能

LED BHは、送受信別構成で、送受信とも全く同じレンズを1枚だけ使っています。同じ光学機器であるカメラでは、非常に小型のスマートフォンのカメラであっても3枚以上のレンズを使うことが当たり前ですが、光無線通信においては色や形の収差を考える必要は無く、単純に明るさ(エネルギー)を取得できれば良いので、1枚のレンズで受信が可能です。また、同様の理由でさほどレンズ精度が必要でないためアクリルのプレス成型レンズを使用しているため、大型のレンズを使用していてもレンズの価格は高くありません。
LED BHはできるだけ長距離で通信できるように、光をなるべく絞って真っ直ぐに飛ばすようにしています。できるだけ理想的なコリメート光(平行光)に近づけるため、出力は高くないですが素子面積の小さいLEDを使用していて、100mで直径1m程度のスポットを作る光を放出します。これにより、LEDによる光無線通信としては長距離である300mでの通信が可能になっています。
レンズは直径10cmという比較的大型のフレネルレンズを使っています。これは受信の利得を稼ぐためのものです。LED BHはレンズサイズの割りに焦点距離の短い構成になっています。そうすると、LEDは完全な無指向性ではないことからレンズに当たる時点で均等に光が分布せず、レンズ中央部の光が強く周辺部が弱くなります。したがって、焦点距離:レンズ径の比が小さい場合は、送信側の大きいレンズはあまり効果的ではありません。一方、受信レンズは、相手の機器がある程度の距離である限り、コリメート光に近い光が受信対象となるため大きい面積を効果的に使用することができます。

LED BHは適応変調を採用しており、S/Nの上下により通信速度も上下します。光も電波の一種ですから、電波と同じように距離によって減衰します。距離によってS/Nが低下するため、当然通信速度も通信距離によって低下します。LED BHは最大通信距離300mとなっておりますが、その時の物理速度は100Mbps程度になります。また、近ければ近いほど高速になるかと言えば、残念ながらそうではありません。2台の距離が近すぎる場合、サチュレーション(過入力)が発生し、速度が低下する場合があります。LED BHの通信距離と物理速度の関係はおおよそ以下の通りとなります。尚、これは屋内実験環境における測定結果ですので、実際の使用環境や光軸合わせの状況によって値は変化します。
LED BHの使っている波長は近赤外線(中心周波数850nm)のLEDです。赤外線にしているのは「見えない」という理由からで、通信技術的な理由はありません。可視光よりも波長の長い赤外線の方が空気中の減衰が小さいという事はありますが、LED BHの通信距離は最大300mで、波長による減衰の違いが通信速度に影響するほどの距離ではありません。Li-Fiの様に照明の光を通信に利用するのであれば可視光にしている意味はありますが、地面と水平に光を照射することになるバックホール型で光が見えていることにあまりメリットなく、逆に緑色のLEDや赤色のLEDなどを使った場合、信号機と間違えるという理由で使用場所に制限を受けるなどのデメリットがあります。白色光であれば水平照射でも環境的なデメリット無く使用することができますが、白色光を生成するには光を蛍光体に当てるか、RGBなど複数のLEDを使用する必要があり、通信とは関係ない部分での技術的な制約が大きく使うことができません。

特徴2: IEEE802.15.13とベースバンドチップ

最新の光無線通信の規格化は、IEEE802.15.13 (WPAN Multi-Gigabit/s Optical Wireless Communications)で行われています。802.15というとUWBやZigbeeといった無線のローカルネットワークを規格化するためのグループで、光無線通信においても同じようにローカルネットワーク装置として考えられています。IEEE802.15.13に属する無線通信はいくつかありますが、LED BHが属するのはHB(High Bandwidth)-PHYと呼ばれるものです。現在のHB-PHY[2]は、最大10Gbpsまで想定されていますが、現在詳細まで規格化されているのは2Gbpsまでです。LED BHは1Gbpsまでの規格に対応しており、最大速度は750Mbpsになっています。
OCR/MHz Clock cycle/ns Frequency up-shift
Fus/MHz
N(Nsupported)/
clock cycles
Max Gross
datarate/Mbit/s
25 40 12.5 128 (117) 253
50 20 25 256 (245) 530
100 10 50 512 (501) 1084
200 5 100 1024 (1013) 2192
400 2 t.b.d. t.b.d. ca. 4000
1000 1 t.b.d. t.b.d. ca. 10000

表 Numerology for High Bandwidth PHY(一部)

実は、これら規格はすべて光無線通信「独自」に決定されているわけではありません。現在の光無線通信の市場はそれほど大きなものではなく、残念ながらすべてを光無線通信だけのエコシステムで賄うことはできません。特に、高速に通信および変調を行うためのベースバンドチップの開発には莫大なコストがかかります。そのため、IEEE802.15.13では他の既存システムのベースバンドチップを使用することで速やかな製品化とコストダウン実現を図りました。その既存システムとは、高速電力線通信(Giga Home Netowrk: G.hn)です。G.hnは、既存の電力線通信を高速化するための国際規格です。しかも、電力線通信だけでなく、低速な電話線や高速化が可能な同軸ケーブルでの通信もサポートするマルチメディアな規格になっており、G.hnモデム用ベースバンドチップもそれらに対応するよう作られています。G.hnが包含する電力線通信や電話線通信(xDSL)は以前よりノイズに強いOFDMを採用しており、光無線通信においてOFDMを実装するには最適な規格だったのです。IEEE802.15.13は、G.hnの規格(ITU G.9960/9961等)の物理層、MAC層の内容を含んでおり、G.hnのベースバンドチップで動作できるように規格化されています。LED BHも内部のベースバンドチップはG.hn向けのものを採用しています。

G.hnは接続に関するプロトコルも規定されていて、IEEE802.15.13もそれに準拠する形になっています。G.hnには接続のグループ化(メッシュネットワーク)、暗号化なども含まれており、LED BHにおいても、それを実装しています。例えば、LED BHにおいても1対複数の接続に対応しています(ただし、LED BHはバックホール型であるため意味の無い機能です)。光無線区間の暗号化はAES-128にて行われます。近年の暗号化技術としては高強度の暗号ではありませんが、そもそもバックホール型光無線通信の特徴として「光が広範囲に飛ばない」こと、そしてそもそもLED BHが同型機以外とは通信できないことを考慮すると、無線区間での傍受は現実的ではなく、十分に高い秘匿性を持ちます。

G.hn向けのベースバンドチップは、すでに数多く出回っており、実績があり動作も安定しています。光無線通信という新しい分野の装置でありながら、LED BHが安定して動作することには、このベースバンドチップが寄与しています。

特徴3: 通信

LED BHは、物理的な通信インターフェースとしてRJ-45コネクタの付いたLANケーブルが製品後部から伸びています。その形状から分かるとおり、LED BHはイーサネットを無線化する装置です。LED BHは、スイッチングハブと同じようにLayer2までの通信を管理します。IPレイヤーに対しては関与しません。これは通信機能を提供するチップとして前述のG.hnのベースバンドチップを使用していることに由来します。G.hn(電力線通信)のモデム装置がIP層を見ていないからです。IP層を見ていないため、IPアドレス設定に限らず光無線通信部分さえ接続されれば、通信は開始されます。IPアドレスのサブネットなどは無視されますし、光区間においてはUDPとTCPは区別されません。
LED BHはIPを全く使用していないわけではありません。機器の設定用IPアドレスがあり、そのアドレスへアクセスすれば設定画面に入ることができ、QoS[3]やマルチキャストの設定ができます。こちらもスイッチングハブの設定画面と同じものとお考えください。仮に設定用IPアドレスが光区間で通信するIPアドレスからは通信できない値に設定されていた場合でも、設定画面には入れませんが光区間の通信は問題なく行われます。

光無線無線区間は無線のため、物理層ではエラーが発生します。しかし、通常の使用環境であれば、FEC(エラー訂正)及びARQ(エラー再送)によりMAC(L2)でのエラーは0、すなわちエラーフリーになります。エラー再送が間に合わないほどの大きなS/Nの変動があった場合にはエラーが発生する場合がありますが、LED BHを通常のバックホール型光無線通信機と使用している限り、エラーの発生を考慮する必要はありません。

ほとんどの光無線通信では、LOS(見通し内通信)が必要で、見通しがなくなると通信が切断されます。LED BHにおいてもそれはおなじであり、見通しがなくなると通信が切れます。LED BHは適応変調方式をつかっており、かつS/Nの変化に対し高速に追従しますので、レンズの一部が遮蔽される程度では切断はされません。また、前述の様にほんの一瞬(完全に)遮蔽される程度であればFECとARQによりエラーは回復されます。完全に遮蔽され、見通しがなくなる時間が一定時間(およそ200msec)を超えると切断となります。また、LED BHはイーサネットを無線化する装置です。そのため、双方向通信が必須で、送受信がともに通信できていることが通信可能な条件となります。LED BHの向かって右側が送信レンズ、左側が受信レンズですが、そのどちらかが完全に遮蔽されると通信は切断されます。

スペック

LED BHの仕様は以下の通りです。
項目
通信規格 IEEE802.15.13 (Draft)
中心波長 850nm 近赤外線
データ通信速度(物理速度) ベストエフォート型
最大 750Mbps
最大通信距離 300m
レンズ 有効直径 100mm 専用フレネルレンズ
セキュリティ AES 128 (ペアリング時)
通信規格 IEEE802.3ab(1000BASE-T)
IEEE802.3u (100BASE-TX)
データ転送速度 100/1000 Mbps 自動設定
データ転送モード 全二重(Full Duplex)固定
端子 RJ-45 プラグ (8極コネクタ)
重量 2.6kg (AC アダプタ、スコープ含まず)
外形寸法 W262 × D158 × H150 mm
動作温度: -25~50度
動作環境 動作湿度: 100%(水中での動作は不可)
保存温度: -40~70度
電源電圧 本体直接接続: DC12V
AC アダプタ: AC100~240V, 47~63Hz
消費電力(Typical) 本体直接接続: 15W
ACアダプタ: 17W
取得規格 VCCI Class B (CISPR32)
CEマーキング
防塵防水性能 本体: IP67
ACアダプタ, 電源コネクタ: IP68
  1. Fraunhoferはドイツにある欧州最大の公的研究機関グループで、その中のHHI(Heinrich Hertz Institute)研究所はベルリンを本拠地とする通信の研究所です。日本で言えば情報通信研究機構(NICT)にあたります。
  2. ここで表記されているのは光無線区間の物理速度です。MAC(L2)での速度は物理速度の約80%となります。
  3. QoSのフラグはMACのペイロード(IPのヘッダー)に記載されますが、QoSに関係するデータ部分だけを見ており、IPヘッダー全体を見ているわけではありません。

PROFESSIONAL

光無線通信は、中核技術に精通した私たちにご相談ください!

LED Backhaul®は、当社が独自に開発した光無線通信システムです。
電波が使用できない環境でも安定した通信を可能にするLED Backhaul®の優位性や車間通信への展開も含め、次世代通信の可能性を技術的に支援します。